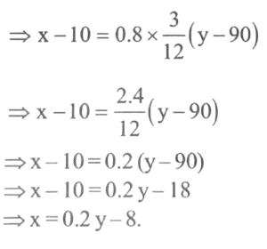
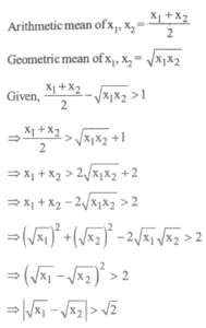
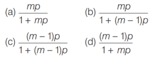
Mathematics NDA/NA SOLVED PAPER 2017 (II) (101 to 120)Total Questions: 2011. What is the probability that at least two persons out of a group of three persons were born in the same month (disregard year)?(a) 33/144(b) 17/72(c) 1/144(d) 2/9Correct Answer: (b) 17/72Solution:12. Simplify the question?(a) Y = 3.2X + 58(b) X = 3.2Y + 58(c) X = −8 + 0.2Y(d) Y = −8 + 0.2XCorrect Answer: (c) X = −8 + 0.2YSolution:13. Simplify the question?(a) 1/12(b) 3/4(c) 1/15(d) 1/9Correct Answer: (a) 1/12Solution:14. The following table gives the monthly expenditure of two families :In construction a pie diagram to theabove data, the radii of the circles are to be chosen by which one of the following ratios?(a) 1 : 1(b) 10 : 9(c) 100 : 91(d) 5 : 4Correct Answer: (b) 10 : 9Solution:15. If a variable takes values 0, 1, 2, 3,..….,n with frequencies 1, C(n, 1), C(n, 2), C(n, 3),...........,C(n, n) respectively, then the arithmetic mean is:(a) 2n(b) n + 1(c) n(d) n/2Correct Answer: (d) n/2Solution:16. In a multiple-choice test, an examinee either knows the correct answer with probability p, or guesses with probability 1 - p. The probability of answering a question correctly is 1/m, if he or she merely guesses. If the examinee answers a question correctly, the probability that he or she really knows the answer is:(a)(b)(c)(d)Correct Answer: (b)Solution:17. If x₁ and x₂ are positive quantities, then the condition for the difference between the arithmetic mean and the geometric mean to be greater than 1 is:(a) x₁ + x₂ > 2√(x₁x₂)(b) √x₁ + √x₂ > √2(c) |√x₁ − √x₂| > √2(d) x₁ + x₂ < 2(√(x₁x₂) + 1)Correct Answer: (c) |√x₁ − √x₂| > √2Solution:18. Consider the following statements :1. Variance is unaffected by change of origin and change of scale. 2. Coefficient of variance is independent of the unit of observations. Which of the statements given above is/are correct?(a) 1 only(b) 2 only(c) Both 1 and 2(d) Neither 1 nor 2Correct Answer: (b) 2 onlySolution:Only statement 2 is correct19. Five sticks of length 1, 3, 5, 7 and 9 feet are given. Three of these sticks are selected at random. What is the probability that the selected sticks can form a triangle?(a) 0.5(b) 0.4(c) 0.3(d) 0Correct Answer: (c) 0.3Solution:20. The coefficient of correlation when coefficients of regression are 0.2 and 1.8 is:(a) 0.36(b) 0.2(c) 0.6(d) 0.9Correct Answer: (c) 0.6Solution:Submit Quiz« Previous12