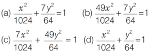
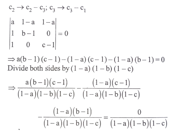
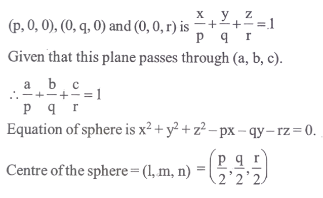
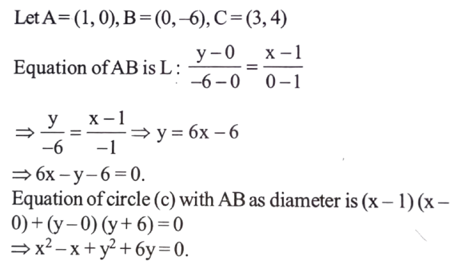
Mathematics NDA/NA SOLVED PAPER 2017 (II) (51 to 100)Total Questions: 501. Simplify the equation?(a) 0(b) 1(c) a + b + c(d) abcCorrect Answer: (b) 1Solution:2. The point of intersection of the line joining the points (-3, 4, -8) and (5, -6, 4) with XY - plane is:(a)(b)(c)(d)Correct Answer: (a)Solution:3. If the angle between the lines whose direction ratios are (2, −1, 2) and ⟨x, 3, 5⟩ is π/4, then the smaller value of x is:(a) 52(b) 4(c) 2(d) 1Correct Answer: (b) 4Solution:4. The position of the point (1,2) relative to the ellipse 2x² + 7y² = 20 is:(a) outside the ellipse(b) inside the ellipse but not at the focus(c) on the ellipse(d) at the focusCorrect Answer: (a) outside the ellipseSolution:5. The equation of straight line which cuts off an intercept of 5 units on negative direction of Y-axis and makes and angle 120° with positive direction of X-axis is:(a) y + √3x + 5 = 0(b) y − √3x + 5 = 0(c) y + √3x − 5 = 0(d) y − √3x − 5 = 0Correct Answer: (a) y + √3x + 5 = 0Solution:6. The equation of the line passing through the point (2, 3) and the point of intersection of lines 2x - 3y + 7 = 0 and 7x + 4y + 2 = 0 is:(a) 21x + 46y - 180 = 0(b) 21x - 46y + 96 = 0(c) 46x + 21y - 155 = 0(d) 46x - 21y - 29 = 0Correct Answer: (b) 21x - 46y + 96 = 0Solution:7. The equation of the ellipse whose centre is at origin, major axis is along X-axis with eccentricity 3/4 and latus rectum 4 units is:(a)(b)(c)(d)Correct Answer: (b)Solution:8. The equation of the circle which passes through the points (1, 0), (0, -6) and (3, 4) is:(a) 4x² + 4y² + 142x + 47y + 140 = 0(b) 4x² + 4y² − 142x − 47y + 138 = 0(c) 4x² + 4y² − 142x + 47y + 138 = 0(d) 4x² + 4y² + 150x − 49y + 138 = 0Correct Answer: (c) 4x² + 4y² − 142x + 47y + 138 = 0Solution:9. A variable plane passes through a fixed point(a, b, c) and cuts the axes in A, B and C respectively. The locus of the centre of the sphere OABC, O being the origin, is:(a)(b)(c)(d)Correct Answer: (c)Solution:10. The equation of the plane passing through the line of intersection of the planes x + y + z = 1, 2x + 3y + 4z = 7, and perpendicular to the plane x - 5y + 3z = 5 is given by:(a) x + 2y + 3z - 6 = 0(b) x + 2y + 3z + 6 = 0(c) 3x + 4y + 5z - 8 = 0(d) 3x + 4y + 5z + 8 = 0Correct Answer: (a) x + 2y + 3z - 6 = 0Solution:Submit Quiz12345Next »