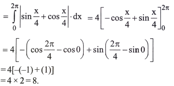
Mathematics NDA/NA SOLVED PAPER 2017 (II) (51 to 100)Total Questions: 5021. The maximum value of ln x/x is:(a) e(b) 1/e(c) 2/e(d) 1Correct Answer: (b) 1/eSolution:22. The function f (x) = |x| - x³ is:(a) odd(b) even(c) both even and odd(d) neither even nor oddCorrect Answer: (d) neither even nor oddSolution:23. Find the answer of given question?(a)(b)(c)(d)Correct Answer: (d)Solution:24. Find the answer of given question?(a) a = b = 0(b) a = −b ≠ 0(c) a = b ≠ 0, h = k(d) a = b ≠ 0Correct Answer: (b) a = −b ≠ 0Solution:25. Find the answer of given question?(a) l = 1, m = 1(b) l = 2/π, m = ∞(c) l = 2/π, m = 0(d) l = 1, m = ∞Correct Answer: (c) l = 2/π, m = 0Solution:26. Simplify the equation?(a) 8(b) 4(c) 2(d) 0Correct Answer: (a) 8Solution:27. The area bounded by the curve |x| + |y| = 1?(a) 1 square unit(b) 2 √2 square units(c) 2 square units(d) 2 √3 square unitsCorrect Answer: (c) 2 square unitsSolution:28. If x is any real number, then x²/1 + x⁴ belongs to which one of the following intervals?(a) (0, 1)(b) (0, 1/2](c) (0, 1/2)(d) [0, 1]Correct Answer: (a) (0, 1)Solution:29. The left-hand derivative of f(x) = [x] sin(πx) at x = k where k is an integer and [x] is the greatest integer function, is:(a) (−1)ᵏ (k − 1)π(b) (−1)ᵏ⁻¹ (k − 1)π(c) (−1)ᵏ kπ(d) (−1)ᵏ⁻¹ kπCorrect Answer: (a) (−1)ᵏ (k − 1)πSolution:30. If f(x) = x/2 − 1, then on the interval [0, π] which one of the following is correct?(a) tan[f(x)], where [·] is the greatest integer function, and 1/f(x) are both continuous(b) tan[f(x)], where [·] is the greatest integer function, and f⁻¹(x) are both continuous(c) tan[f(x)], where [·] is the greatest integer function, and 1/f(x) are both discontinuous(d) tan[f(x)], where [·] is the greatest integer function is discontinuous but 1/f(x) is continuousCorrect Answer: (c) tan[f(x)], where [·] is the greatest integer function, and 1/f(x) are both discontinuousSolution:Submit Quiz« Previous12345Next »