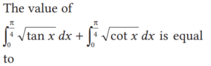
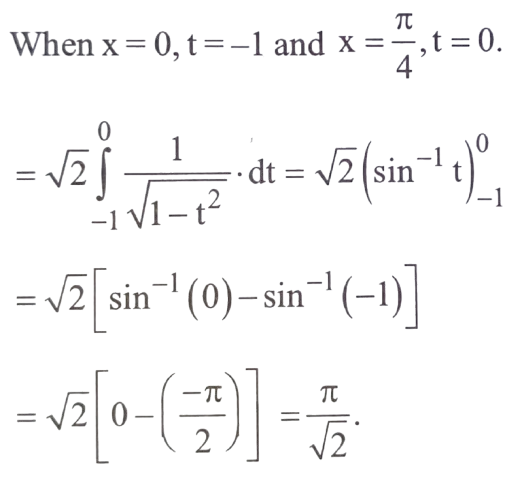
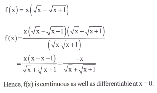
Mathematics NDA/NA SOLVED PAPER 2017 (II) (51 to 100)Total Questions: 5031. Find the answer of given equation?(a) 3 and 2(b) 2 and 2(c) 2 and 3(d) 1 and 3Correct Answer: (b) 2 and 2Solution:32. Find the answer of given equation?(a)(b)(c)(d)Correct Answer: (a)Solution:33. The set of all points, where the function f(x) = √1 - e⁻ˣ² is differentiable, is:(a) (0, ∞)(b) (−∞, ∞)(c) (−∞, 0) ∪ (0, ∞)(d) (−1, ∞)Correct Answer: (c) (−∞, 0) ∪ (0, ∞)Solution:34. Match List-I with List-II and select the correct answer using the code given below the lists :(a)(b)(c)(d)Correct Answer: (b)Solution:35. If f(x) = x(√x − √(x + 1), then f(x) is:(a) continuous but not differentiable at x = 0(b) differentiable at x = 0(c) not continuous at x = 0(d) None of the aboveCorrect Answer: (b) differentiable at x = 0Solution:36. Which one of the following graph represents the function f(x) = x/x, x ≠ 0?(a)(b)(c)(d)Correct Answer: (c)Solution:37. Find the answer of given equation?(a) 251(b) 250(c) 1(d) 0Correct Answer: (a) 251Solution:38. ∫(ln x)⁻¹ dx − ∫(ln x)⁻² dx is equal to?(a) x(ln x)⁻¹ + C(b) x(ln x)⁻² + C(c) x(ln x) + C(d) x(ln x)² + CCorrect Answer: (a) x(ln x)⁻¹ + CSolution:39. A cylindrical jar without a lid has to be constructed using a given surface area of a metal sheet. If the capacity of the jar is to be maximum, then the diameter of the jar must be k times the height of the jar. The value ofk is:(a) 1(b) 2(c) 3(d) 4Correct Answer: (b) 2Solution:40. Find the answer of given equation?(a) π/4(b) π/2(c) π/(2√2)(d) π/√2Correct Answer: (d) π/√2Solution:Submit Quiz« Previous12345Next »