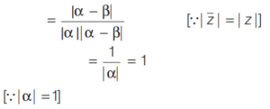
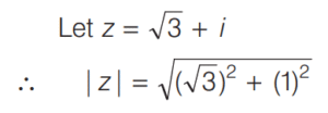
Mathematics NDA/NA SOLVED PAPER 2018 (I) (01 to 50)Total Questions: 5011. If x + log₁₅ (1 + 3ˣ) = x log₁₅ 5 + log₁₅ 12, where x is an integer, then what is x equal to?(a) − 3(b) 2(c) 1(d) 3Correct Answer: (c) 1Solution:12. How many four-digit numbers divisible by 10 can be formed using 1, 5, 0, 6, 7 without repetition of digits?(a) 24(b) 36(c) 44(d) 64Correct Answer: (a) 24Solution:We have to form four digit numbers which are divisible by 10 and using 1, 5, 0, 6, 7. Since numbers must be divisible by 10, so unit place must be zero. ∴ Total number of such numbers = Permutations of three digits using 1, 5, 6, 713. Questions:- (13 to 14) Consider the information given below and answer the two items that follow:In a class, 54 students are good in Hindi only, 63 students are good in Mathematics only and 41 students are good in English only. There are 18 students who are good in both Hindi and Mathematics. 10 students are good in all three subjects. What is the number of students who are good in either Hindi or Mathematics but not English?(a) 99(b) 107(c) 125(d) 130Correct Answer: (c) 125Solution:14. What is the number of students who are good in Hindi and Mathematics but not in English?(a) 18(b) 12(c) 10(d) 8Correct Answer: (d) 8Solution:15. Find the answer of given question?(a) |β|(b) 2(c) 1(d) 0Correct Answer: (c) 1Solution:16. The equation |1 - x| + x² = 5 has:(a) a rational root and an irrational root(b) two rational roots(c) two irrational roots(d) no real rootsCorrect Answer: (a) a rational root and an irrational rootSolution:17. The binary number expression of the decimal number 31 is:(a) 1111(b) 10111(c) 11011(d) 11111Correct Answer: (d) 11111Solution:18. Find the answer of given equation?(a) 0(b) i(c) − i(d) 1Correct Answer: (a) 0Solution:19. Find the answer of given equation?(a)(b)(c)(d)Correct Answer: (a)Solution:20. The modulus-amplitude form of √3 + i, where i = √−1 is:(a)(b)(c)(d)Correct Answer: (b)Solution:Submit Quiz« Previous12345Next »