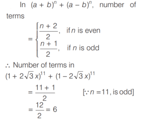
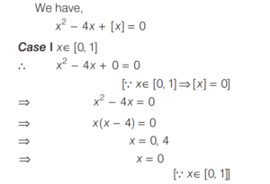
Mathematics NDA/NA SOLVED PAPER 2018 (I) (01 to 50)Total Questions: 5021. What is the number of non-zero terms in the expansion of (1 + 2√3x)¹¹ + (1 - 2√3x)¹¹ (after simplification)?(a) 4(b) 5(c) 6(d) 11Correct Answer: (c) 6Solution:22. What is the greatest integer among the following, by which the number 5⁵ + 7⁵ is divisible?(a) 6(b) 8(c) 11(d) 12Correct Answer: (d) 12Solution:We know that when m is odd then (Xᵐ + Yᵐ) is divisible by (X + Y). ∴ 5⁵ + 7⁵ is divisible by 5 + 7 = 12 as m = 5 is odd.23. If x = 1 - y + y² - y³....... up to infinite terms, where |y| < 1, then which one of the following is correct?(a)(b)(c)(d)Correct Answer: (a)Solution:24. Find the answer of given equation?(a)(b)(c)(d)Correct Answer: (a)Solution:25. If A is a 2 × 3 matrix and AB is a 2 × 5 matrix, then B must be a:(a) 3 × 5 matrix(b) 5 × 3 matrix(c) 3 × 2 matrix(d) 5 × 2 matrixCorrect Answer: (a) 3 × 5 matrixSolution:26. Simplify the equation?(a) 4(b) − 4(c) 8(d) − 8Correct Answer: (a) 4Solution:27. What is the number of triangles that can be formed by choosing the vertices from a set of 12 points in a plane, seven of which lie on the same straight line?(a) 185(b) 175(c) 115(d) 105Correct Answer: (a) 185Solution:28. What is C(n, r) + 2C(n, r - 1) + C(n, r - 2) equal to?(a) C (n + 1, r)(b) C (n - 1, r + 1)(c) C (n, r + 1)(d) C (n + 2, r)Correct Answer: (d) C (n + 2, r)Solution:29. Let |x| denote the greatest integer function. What is the number of solutions of the equation x²− 4x + [x] = 0 in the interval [0, 2]?(a) Zero (no solution)(b) One(c) Two(d) ThreeCorrect Answer: (b) OneSolution:30. A survey of 850 students in a University yields that 680 students like music and 215 like dance. What is the least number of students who like both music and dance?(a) 40(b) 45(c) 50(d) 55Correct Answer: (b) 45Solution:Submit Quiz« Previous12345Next »