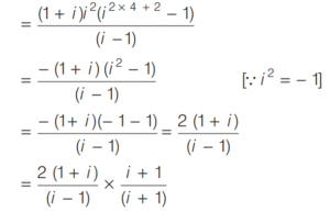
Mathematics NDA/NA SOLVED PAPER 2018 (I) (01 to 50)Total Questions: 5031. What is the sum of all two-digit numbers, which when divided by 3 leave 2 as the remainder?(a) 1565(b) 1585(c) 1635(d) 1655Correct Answer: (c) 1635Solution:32. If 0 > a > 1, the value of log₁₀ a is negative. This is justified by:(a) Negative power of 10 is less than 1(b) Negative power of 10 is between 0 and 1(c) Negative power of 10 is positive(d) Negative power of 10 is negativeCorrect Answer: (b) Negative power of 10 is between 0 and 1Solution:33. The third term of a GP is 3. What is the product of the first five terms?(a) 216(b) 226(c) 243(d) Cannot be determined due to insufficient dataCorrect Answer: (c) 243Solution:34. If x, 3/2, z are in AP; x, 3, z are in GP; then which one of the following will be in HP?(a) x, 6, z(b) x, 4, z(c) x, 2, z(d) x, 1, zCorrect Answer: (a) x, 6, zSolution:35. Answer the following question?(a) i(b) 2i(c) − 2i(d) 1 + iCorrect Answer: (c) − 2iSolution:36. Simplify the equation?(a) π(b) π/2(c) π/4(d) 0Correct Answer: (b) π/2Solution:37. Simplify the equation?(a) sinx(b) cos x(c) tanx(d) cot xCorrect Answer: (c) tanxSolution:38. What is sin105° + cos105° equal to?(a) sin50°(b) cos 50°(c) 1/√2(d) 0Correct Answer: (c) 1/√2Solution:39. In a ∆ABC, if a = 2, b = 3 and sin A = 2/3, then what is <B equal to?(a) π/4(b) π/2(c) π/3(d) π/6Correct Answer: (b) π/2Solution:40. What is the principal value of sin⁻¹(sin 2π/3)?(a) π/4(b) π/2(c) π/3(d) 2π/3Correct Answer: (c) π/3Solution:Submit Quiz« Previous12345Next »