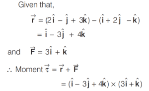
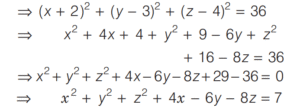
Mathematics NDA/NA SOLVED PAPER 2018 (I) (51 to 100)Total Questions: 5011. The coordinates of the vertices P, Q and R of a triangle PQR are (1 ,−1, 1) , (3, − 2, 2) and (0, 2, 6) respectively. If ∠RQP = 9, then what is ∠PRQ equal to?(a) 30° + θ(b) 45° − θ(c) 60° − θ(d) 90° − θCorrect Answer: (d) 90° − θSolution:12. The perpendiculars that fall from any point of the straight line 2x + 11y = 5 upon the two straight lines 24x + 7y = 20 and 4x - 3y = 2 are:(a) 12 and 4 respectively(b) 11 and 5 respectively(c) Equal to each other(d) Not equal to each otherCorrect Answer: (c) Equal to each otherSolution:13. The equation of the line, when the portion of it intercepted between the axes is divided by the point (2, 3) in the ratio of 3 : 2, is:(a) Either x + y = 4 or 9x + y = 12(b) Either x + y = 5 or 4x + 9y = 30(c) Either x + y = 4 or x + 9y = 12(d) Either x + y = 5 or 9x + 4y = 30Correct Answer: (d) Either x + y = 5 or 9x + 4y = 30Solution:14. What is the distance between the straight lines 3x + 4y = 9 and 6x + 8y = 15?(a) 3/2(b) 3/10(c) 6(d) 5Correct Answer: (b) 3/10Solution:15. What is the equation of the sphere whose centre is at (-2, 3, 4) and radius is 6 units?(a) x² + y² + z² + 4x – 6y – 8z = 7(b) x² + y² + z² + 6x – 4y – 8z = 7(c) x² + y² + z² + 4x – 6y – 8z = 4(d) x² + y² + z² + 4x + 6y + 8z = 4Correct Answer: (a) x² + y² + z² + 4x – 6y – 8z = 7Solution:16. Find the answer of given equation?(a) 30°(b) 45°(c) 60°(d) 90°Correct Answer: (a) 30°Solution:17. Find the answer of given question?(a) 9p² = 4q²(b) 4p² = 9q²(c) 9p = 4q(d) 4p = 9qCorrect Answer: (a) 9p² = 4q²Solution:18. Find the answer of given equation?(a) –3î + 11ĵ + 9k̂(b) 3î + 2ĵ + 9k̂(c) 3î + 4ĵ + 9k̂(d) î + ĵ + k̂Correct Answer: (a) –3î + 11ĵ + 9k̂Solution:19. Simplify the question?(a) 2(b) 3(c) 4(d) 6Correct Answer: (d) 6Solution:20. Simplify the equation?(a)(b)(c)(d)Correct Answer: (b)Solution:Submit Quiz« Previous12345Next »