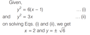
Mathematics NDA/NA SOLVED PAPER 2018 (I) (51 to 100)Total Questions: 5021. When one of the following is correct in respect of the function f : R → R⁺ defined as f(x) = |x + 1|?(a) f(x²) = [f(x)]²(b) f(|x|) = |f(x)|(c) f(x + y) = f(x) + f(y)(d) None of the aboveCorrect Answer: (d) None of the aboveSolution:22. Find the answer of given equation?(a) [0, 1)(b) [0, 1](c) (0, 1](d) (0, 1)Correct Answer: (a) [0, 1)Solution:23. If f(x) = |x| + |x - 1|, then which one of the following is correct?(a) f(x) is continuous at x = 0 at x = 1(b) f(x) is continuous at x = 0 but not at x = 1(c) f(x) is continuous at x = 1 but not at x = 0(d) f(x) is neither continuous at x = 0 nor at x = 1Correct Answer: (a) f(x) is continuous at x = 0 at x = 1Solution:24. Find the answer of given equation?(a) 0(b) 1(c) − 1(d) It does not existCorrect Answer: (a) 0Solution:25. What is the area of the region bounded by the parabolas y² = 6(x - 1) and y² = 3x?(a) √6 / 3(b) 2√6 / 3(c) 4√6 / 3(d) 5√6 / 3Correct Answer: (c) 4√6 / 3Solution:26. Questions:- (76 to 78) Consider the following information for the next three items that follow Three sides of a trapezium are each equal to 6 cm. Let αε (0, π/2) be the angle between a pair of adjacent sides.If the area of the trapezium is the maximum possible, then what is α equal to ?(a) π/6(b) π/4(c) π/3(d) 2π/5Correct Answer: (c) π/3Solution:27. If the area of the trapezium is maximum, what is the length of the fourth side?(a) 8 cm(b) 9 cm(c) 10 cm(d) 12 cmCorrect Answer: (d) 12 cmSolution:So, fourth side = x + 6 + x = 3 + 6 + 3 1228. What is the maximum area of the trapezium?(a) 36√3 cm²(b) 30√3 cm²(c) 27√3 cm²(d) 24√3 cm²Correct Answer: (c) 27√3 cm²Solution:29. Simplify the equation?(a)(b)(c)(d)Correct Answer: (a)Solution:30. Simplify the equation?(a) f(3) = 0(b) f(3) = 1.5(c) f(3) = 3(d) f(3) = –1.5Correct Answer: (b) f(3) = 1.5Solution:Submit Quiz« Previous12345Next »