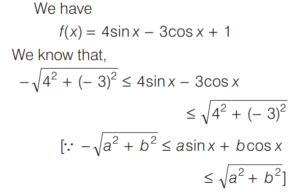
Mathematics NDA/NA SOLVED PAPER 2018 (I) (51 to 100)Total Questions: 5031. Simplify the question?(a)(b)(c)(d)Correct Answer: (b)Solution:32. Simplify the question?(a) √2 – 1(b) 1 – √2(c) 2(√2 – 1)(d) √3 – 1Correct Answer: (a) √2 – 1Solution:33. What is the maximum value of 16 sinθ - 12 sin²θ?(a) 3/4(b) 4/3(c) 16/3(d) 4Correct Answer: (c) 16/3Solution:34. If f : R → S defined by f(x) = 4 sin x – 3 cos x + 1 is onto, then what is S equal to?(a) [-5, 5](b) (-5, 5)(c) (-4, 6)(d) [-4, 6]Correct Answer: (d) [-4, 6]Solution:35. Simplify the question?(a) (−∞, 0)(b) (0, ∞)(c) (−∞, ∞)(d) (−∞, 0)Correct Answer: (a) (−∞, 0)Solution:36. What is the solution of the differential equation xdy - ydx = 0?(a) xy = c(b) y = cx(c) x + y = c(d) x - y = cCorrect Answer: (b) y = cxSolution:37. What is the derivative of the function f(x) = eᵗᵃⁿˣ + ln(sec x) – eˡⁿ ˣ at x = π/4?(a) e/2(b) e(c) 2e(d) 4eCorrect Answer: (c) 2eSolution:38. Which one of the following differential equations has a periodic solution?(a)(b)(c)(d)Correct Answer: (a)Solution:39. What is the period of the the function f(x) = sin x?(a) π/4(b) π/2(c) π(d) 2 πCorrect Answer: (d) 2 πSolution:40. Simplify the equation?(a)(b)(c)(d)Correct Answer: (b)Solution:Submit Quiz« Previous12345Next »