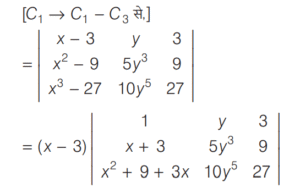
Mathematics NDA/NA SOLVED PAPER 2018 (II) (01 to 50)Total Questions: 5011. What is the coefficient of the middle term in the binomial expansion of (2 + 3x)⁴?(a) 6(b) 12(c) 108(d) 216Correct Answer: (d) 216Solution:12. For a square matrix A, which of the following properties hold?(a) 1 and 2(b) 2 and 3(c) 1 and 3(d) 1, 2 and 3Correct Answer: (d) 1, 2 and 3Solution:13. Which one of the following factors does the expansion of the determinant:(a) x − 3(b) x - y(c) y − 3(d) x - 3yCorrect Answer: (a) x − 3Solution:14. What is the adjoint of the matrix:(a)(b)(c)(d)Correct Answer: (a)Solution:15. Solve the following equation?(a) 3(b) 2(c) 1(d) 0Correct Answer: (b) 2Solution:16. There are 17 cricket players, out of which 5 players can bowl. In how many ways can a team of 11 players be selected so as to include 3 bowlers?(a) C (17, 11)(b) C (12, 8)(c) C (17, 5) × C (5, 3)(d) C (5, 3) × C (12, 8)Correct Answer: (d) C (5, 3) × C (12, 8)Solution:17. Find the answer of given equation?(a) 7/2(b) 19/6(c) 4(d) 7Correct Answer: (b) 19/6Solution:18. If A and B are two invertible square matrices of same order, then what is (AB)⁻¹ equal to?(a) B⁻¹A⁻¹(b) A⁻¹B⁻¹(c) B⁻¹A(d) A⁻¹BCorrect Answer: (a) B⁻¹A⁻¹Solution:If A and B are two invertible square matrices of same order, then (AB)⁻¹ = B⁻¹ A⁻¹19. Simplify the question?(a)(b)(c)(d)Correct Answer: (d)Solution:20. Simplify the equation?(a) 16(b) −16(c) 8(d) −8Correct Answer: (b) −16Solution:Submit Quiz« Previous12345Next »