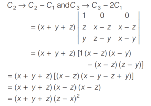
Mathematics NDA/NA SOLVED PAPER 2018 (II) (01 to 50)Total Questions: 5031. If (0.2)ˣ = 2 and log₁₀ 2 = 0.3010, then what is the value of x to the nearest tenth?(a) −10 0(b) −0 5(c) −0 4(d) −0 2Correct Answer: (c) −0 4Solution:32. The total number of 5-digit numbers that can be composed of distinct digits from 0 to 9 is:(a) 45360(b) 30240(c) 27216(d) 15120Correct Answer: (c) 27216Solution:33. Find the answer of given question?(a) (x - y) (y - z) (z - x)(b) (x - y) (y - z)(c) (y - z) (z - x)(d) (z - x)² (x + y + z)Correct Answer: (d) (z - x)² (x + y + z)Solution:34. Simplify the equation?(a) The triangle ABC is isosceles(b) The triangle ABC is equilateral(c) The triangle ABC is scalene(d)No conclusion can be drawn with regard to the nature of the triangleCorrect Answer: (a) The triangle ABC is isoscelesSolution:35. Consider the following in respect of matrices A and B of same order:1. A² - B²= (A + B) (A - B) 2. (A - I) (I + A) = O ⇔ A² = I where I is the identity matrix and O is the null matrix. Which of the above is/are correct?(a) 1 only(b) 2 only(c) Both 1 and 2(d) Neither 1 nor 2Correct Answer: (b) 2 onlySolution:36. Simplify the question?(a) cos2θ(b) tan2θ(c) sin2θ(d) cosec 2θCorrect Answer: (c) sin2θSolution:37. If sec (θ -α), secθ and sec (θ + α) are in AP, where cosα ≠ 1, then what is the value of sin²θ + cosα?(a) 0(b) 1(c) –1(d) 1/2Correct Answer: (a) 0Solution:38. If A + B + C = 180º, then what is sin2A - sin2B - sin2C equal to?(a) −4sin A sin B sin C(b) -4cos A sin B cos C(c) -4 cos A cos B sin C(d) −4sin A cos B cos CCorrect Answer: (d) −4sin A cos B cos CSolution:39. A balloon is directly above one end of a bridge. The angle of depression of the other end of the bridge from the ballon is 48º. If the height of the balloon above the bridge is 122 m, then what is the length of the bridge?(a) 122 sin 48ºm(b) 122 tan 42ºm(c) 122 cos 48ºm(d) 122 tan 48ºmCorrect Answer: (b) 122 tan 42ºmSolution:40. A is an angle in the fourth quadrant it satisfies the trigonometric equation 3(3 - tan² A - cot A)² = 1. Which one of the following is a value of A?(a) 300º(b) 315º(c) 330º(d) 345ºCorrect Answer: (a) 300ºSolution:Submit Quiz« Previous12345Next »