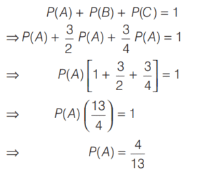
Mathematics NDA/NA SOLVED PAPER 2018 (II) (101 to 120)Total Questions: 201. If two dice are thrown and atleast one of the dice shows 5, then the probability that the sum is 10 or more is:(a) 1/6(b) 4/11(c) 3/11(d) 2/11Correct Answer: (c) 3/11Solution:2. The correlation coefficient computed from a set of 30 observations is 0.8. Then the percentage of variation not explained by linear regression is:(a) 80%(b) 20%(c) 64%(d) 36%Correct Answer: (b) 20%Solution:Given that, correlation coefficient = 0.8 = 80%, if the relation is 80% explained, then 20% of variation will not explained by near regression.3. The average age of a combined group of men and women is 25 yr. If the average age of the group of men is 26 yr and that of the group of women is 21 yr, then the percentage of men and women in the group is respectively:(a) 20, 80(b) 40, 60(c) 60, 40(d) 80, 20Correct Answer: (d) 80, 20Solution:4. If sinβ is the harmonic mean of sinα and cosα and sinθ is the arithmetic mean of sinα and cosα, then which of the following is/are correct?(a) 1 only(b) 2 only(c) Both 1 and 2(d) Neither 1 nor 2Correct Answer: (c) Both 1 and 2Solution:5. Let A B, and C be three mutually exclusive and exhaustive events associated with a random experiment. If P(B) = 1.5 P (A) and P (C) = 0.5 P(B), then P (A) is equal to?(a) 3/4(b) 4/13(c) 2/3(d) 1/2Correct Answer: (b) 4/13Solution:6. In a bolt factory, machines X, Y, Z manufacture bolts that are respectively 25%, 35% and 40% of the factory’s total output. The machines X, Y, Z respectively produce 2%, 4% and 5% defective bolts. A bolt is drawn at random from the product and is found to be defective. What is the probability that it was manufactured by machine X?(a) 5/39(b) 14/39(c) 20/39(d) 34/39Correct Answer: (a) 5/39Solution:7. 8 coins are tossed simultaneously. The probability of getting atleast 6 heads is:(a) 7/64(b) 57/64(c) 37/256(d) 229/256Correct Answer: (c) 37/256Solution:8. Three groups of children contain 3 girls and 1 boy; 2 girls and 2 boys; 1 girl and 3 boys. One child is selected at random from each group. The probability that the three selected consist of 1 girl and 2 boys is:(a) 13/32(b) 9/32(c) 3/32(d) 1/32Correct Answer: (a) 13/32Solution:9. Consider the following statements :1. If 10 is added to each entry on a list, then the average increases by 10. 2. If 10 is added to each entry on a list, then the standard deviation increases by 10. 3. If each entry on a list is doubled then the average doubles. Which of the above statements are correct?(a) 1, 2 and 3(b) 1 and 2(c) 1 and 3(d) 2 and 3Correct Answer: (c) 1 and 3Solution:Statement 1 The average is affected by the change of the origin. So, if 10 is added to each entry on list then average increase by 10. Statement 1 is correct. Statement 2 Standard deviation is independent on change in origin. Statement 2 is incorrect. Statement 3 The average is affected by change in scale in same ratio as each entry is changes. So, Statement 3 is correct.10. The variance of 25 observations is 4. If 2 is added to each observation, then the new variance of the resulting observations is:(a) 2(b) 4(c) 6(d) 8Correct Answer: (b) 4Solution:We know that, Variance is independent on change in origin. So, if 2 is added to each observation, then variance is remain same Hence, variance = 4Submit Quiz12Next »