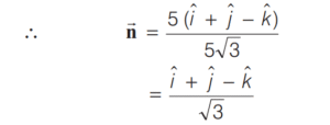
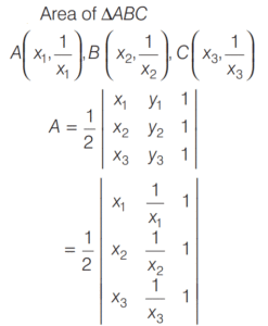
Mathematics NDA/NA SOLVED PAPER 2018 (II) (51 to 100)Total Questions: 5011. Simplify the equation?(a)(b)(c)(d)Correct Answer: (d)Solution:12. If Y-axis touches the circle x² + y² + gx + fy + c/4 = 0, then the normal at this point intersects the circle at the point?(a)(b)(c)(d)Correct Answer: (b)Solution:13. Simplify the question?(a)(b)(c)(d)Correct Answer: (a)Solution:14. Simplify the equation?(a) x(b) x + y(c) -(x + y + z)(d) (x + y + z)Correct Answer: (d) (x + y + z)Solution:15. Find the answer of given equation?(a)(b)(c)(d)Correct Answer: (a)Solution:16. Simplify the equation?(a) 8(b) 6(c) 5√2(d) 5Correct Answer: (d) 5Solution:17. Find the answer of given equation?(a)(b)(c)(d)Correct Answer: (c)Solution:18. Find the answer of given equation?(a)(b)(c)(d)Correct Answer: (c)Solution:19. Simplify the equation?(a) λ(b) √3λ(c) √5λ(d) None of theseCorrect Answer: (c) √5λSolution:20. In a triangle ABC, if taken in order, consider the following statements:How many of the above statement are correct?(a) One(b) Two(c) Three(d) FourCorrect Answer: (a) OneSolution:Submit Quiz« Previous12345Next »