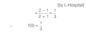
Mathematics NDA/NA SOLVED PAPER 2018 (II) (51 to 100)Total Questions: 5021. Let the slope of the curve y = cos⁻¹(sin x) be tanθ. Then the value of θ in the interval (0, π) is:(a) π/6(b) 3π /4(c) π/4(d) π/2Correct Answer: (b) 3π /4Solution:22. Simplify the equation?(a) (− ∞, 4) ∪ (4, ∞)(b) [4, ∞)(c) (1, 4) ∪ (4, ∞)(d) [1, 4) ∪ (4, ∞)Correct Answer: (d) [1, 4) ∪ (4, ∞)Solution:23. Find the answer of given equation?(a) It is not continuous at x = 0(b) It is continuous at every x(c) It is not continuous at x = π(d) It is continuous at x = 0Correct Answer: (a) It is not continuous at x = 0Solution:24. For the function f(x) = |x - 3|, which one of the following is not correct?(a) The function is not continuous at x = −3(b) The function is continuous at x = 3(c) The function is differentiable at x = 0(d) The function is differentiable at x = −3Correct Answer: (a) The function is not continuous at x = −3Solution:We have, f(x) = |x - 3| We know that, modulus function is continuous in R. So, option (a) is incorrect.25. Find the answer of given equation?(a) -1/3(b) 1/3(c) 2/3(d) 2Correct Answer: (b) 1/3Solution:26. Simplify the equation?(a)(b)(c)(d)Correct Answer: (a)Solution:27. Simplify the equation?(a) -1/2√x(b) 1(c) − 1(d) 1/2√xCorrect Answer: (a) -1/2√xSolution:28. Which one of the following is correct in respect of the function f(x) = x sin x + cos x + 1/2 cos²x?(a) It is increasing in the interval (0, π/2)(b)It remains constant in the interval (0, π/2)(c) It is decreasing in the interval (0, π/2)(d) It is decreasing in the interval (0, π/2)Correct Answer: (a) It is increasing in the interval (0, π/2)Solution:29. Simplify the question?(a) √2(b) 2√2(c) 1/√2(d) -1/2√2Correct Answer: (c) 1/√2Solution:30. A function f : A → R is defined by the equation f (x) = x² - 4x + 5, where A = (1, 4). What is the range of the function?(a) (2, 5)(b) (1, 5)(c) [1, 5)(d) [1, 5]Correct Answer: (c) [1, 5)Solution:Submit Quiz« Previous12345Next »