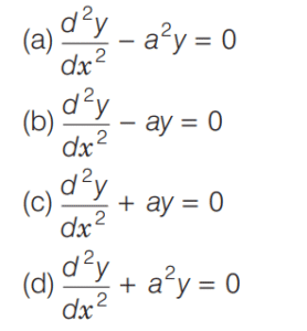
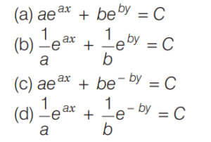
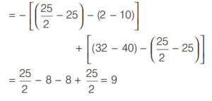
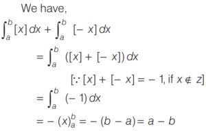
Mathematics NDA/NA SOLVED PAPER 2018 (II) (51 to 100)Total Questions: 5031. Simplify the equation?(a) b - a(b) a - b(c) 0(d) 2(b - a)Correct Answer: (b) a - bSolution:32. Simplify the equation?(a) 2(b) 3(c) 4(d) 9Correct Answer: (d) 9Solution:33. What is ∫sin³x cos x dx equal to?(a)(b)(c)(d)Correct Answer: (d)Solution:34. Simplify the equation?(a)(b)(c)(d)Correct Answer: (b)Solution:35. Simplify the question?(a) 0(b) − π/4(c) − π/2(d) π/2Correct Answer: (d) π/2Solution:36. In which one of the following intervals is the function f(x) = x²- 5x + 6 decreasing?(a) (−∞, 2](b) [3, ∞)(c) (−∞, ∞)(d) (2, 3)Correct Answer: (a) (−∞, 2]Solution:37. The differential equation of the family of curves y = p cos(ax) + q sin(ax), where p, q are arbitrary constants, is:(a)(b)(c)(d)Correct Answer: (d)Solution:38. The equation of the curve passing through the point (-1, -2), which satisfies dy/dx = -x² - 1/x³, is:(a) 17x²y − 6x² + 3x⁵ − 2 = 0(b) 6x²y + 17x² + 2x⁵ − 3 = 0(c) 6xy − 2x² + 17x⁵ + 3 = 0(d) 17x²y + 6xy − 3x⁵ + 5 = 0Correct Answer: (b) 6x²y + 17x² + 2x⁵ − 3 = 0Solution:39. What is the order of the differential equation whose solution is y = a cos x + b sin x + ce⁻ˣ + d, where a, b, c and d are arbitrary constants?(a) 1(b) 2(c) 3(d) 4Correct Answer: (d) 4Solution:40. What is the solution of the differential equation ln(dy/dx) = ax + by?(a)(b)(c)(d)Correct Answer: (d)Solution:Submit Quiz« Previous12345Next »