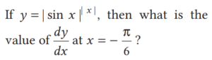
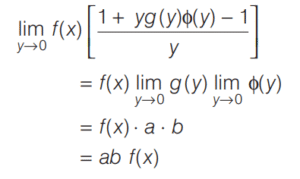
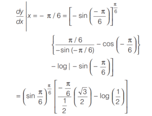
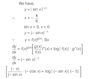
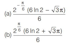
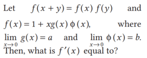
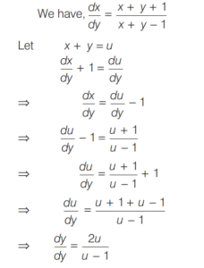
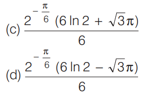
Mathematics NDA/NA SOLVED PAPER 2018 (II) (51 to 100)Total Questions: 5041. Simplify the question?(a) ae²ᵃˣ(b) (a² + b²) eᵃˣ(c) ab e²ᵃˣ(d) (a + b) eᵃˣCorrect Answer: (a) ae²ᵃˣSolution:42. If y = sin (ln x), then which one of the following is correct?(a)(b)(c)(d)Correct Answer: (c)Solution:43. A flower-bed in the form of a sector has been fenced by a wire of 40 m length. If the flower-bed has the greatest possible area, then what is the radius of the sector?(a) 25 m(b) 20 m(c) 10 m(d) 5 mCorrect Answer: (c) 10 mSolution:44. Simplify the question?(a)(b)(c)(d)Correct Answer: (a)Solution:45. Simplify the equation?(a)(b)(c)(d)Correct Answer: (a)Solution: 46. Simplify the equation?(a) cos x + sin x(b) − (cos x + sin x)(c) ± (cos x + sin x)(d) None of the aboveCorrect Answer: (a) cos x + sin xSolution:47. Simplify the question?(a)(b)(c)(d)Correct Answer: (a)Solution:48. Simplify the question?(a) 1 + abf (x)(b) 1 + ab(c) ab(d) ab f (x)Correct Answer: (d) ab f (x)Solution:49. Simplify the equation?(a)(b)(c)(d)Correct Answer: (c)Solution:50. Simplify the equation?(a) − 1/2(b) -1/3(d) − 3(d) − 3Correct Answer: (d) − 3Solution:Submit Quiz« Previous12345