Mathematics (NDA/NA SOLVED PAPER 2019 (I) (01 to 50)

Total Questions: 50

11. The common roots of the equations z³ + 2z² + 2z + 1 = 0 and z²⁰¹⁷ + z²⁰¹⁸ + 1 = 0 are:

Correct Answer: (d) ω, ω²
Solution:

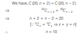
12. If C(20, n + 2) = C(20, n - 2), then what is n equal to?

Correct Answer: (b) 10
Solution:

13. There are 10 points in a plane. No three of these points are in a straight line. What is the total number of straight lines which can be formed by joining the points?

Correct Answer: (b) 45
Solution:

14. The equation px² + qx + r = 0 (where p, q, r all are positive) has distinct real roots a and b. Which one of the following is correct?

Correct Answer: (b) a < 0, b < 0
Solution:

15. If A = {λ, {λ, µ}}, then the power set of A is:

Correct Answer: (b)
Solution:

16. Question:- (16 to 17): Read the statement carefully and answer the question below:

Read the information carefully and answer the given questions. In a school, all the students play atleast one of three indoor games– chess, carrom and table tennis. 60 play chess, 50 play table tennis, 48 play carrom, 12 play chess and carrom, 15 play carrom and table tennis, 20 play table tennis and chess.
What can be the minimum number of students in the school? 

Correct Answer: (b) 111
Solution:

17. Read the above statement carefully and answer the question below:

What can be the maximum number of students in the school?

Correct Answer: (b) 123
Solution:

18. If A is an identity matrix of order 3, then its inverse (A⁻¹)?

Correct Answer: (b) is equal to A
Solution:

19. A is a square matrix of order 3 such that its determinant is 4. What is the determinant of its transpose?

Correct Answer: (d) 4
Solution:Given, |A| = 4
∴ |A′|  = 4 [∴ |A| = |A'|]

20. From 6 programmers and 4 typists, an office wants to recruit 5 people. What is the number of ways this can be done so as to recruit atleast one typist?

Correct Answer: (c) 246
Solution: