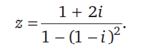
Mathematics (NDA/NA SOLVED PAPER 2019 (I) (01 to 50)Total Questions: 5021. What is the number of terms in the expansion of [(2x - 3y)² (2x + 3y)²]²?(a) 4(b) 5(c) 8(d) 16Correct Answer: (b) 5Solution:Given, [(2x - 3y)² (2x + 3y)²]² = [4x² - 9y²]⁴ ∴ Total number of terms = 4 + 1 = 522. In the expansion of (1 +ax)ⁿ, the first three terms are respectively 1,12x and 64x². What is n equal to?(a) 6(b) 9(c) 10(d) 12Correct Answer: (b) 9Solution:23. The numbers 1, 5 and 25 can be three terms (not necessarily consecutive) of:(a) only one AP(b) more than one but finite numbers of APs(c) infinite number of APs(d) finite number of GPsCorrect Answer: (d) finite number of GPsSolution:We have, 1, 5, 25 be three terms. Clearly, 1, 5, 25 are finite number of GPs.24. The sum of (p + q)th and (p - q)th terms of an AP is equal to(a) (2p) th term(b) (2q) th term(c) twice the p th term(d) twice the q th termCorrect Answer: (c) twice the p th termSolution:25. If A is a square matrix of order n > 1, then which one of the following is correct?(a) det (−A) = det A(b) det (-A) = (-1)ⁿ det A(c) det (-A) = − det A(d) det (-A) = n det ACorrect Answer: (b) det (-A) = (-1)ⁿ det ASolution:26. What is the least value of 25 cosec²x + 36 sec²x?(a) 1(b) 11(c) 120(d) 121Correct Answer: (d) 121Solution:27. Question:- (27 to 28): Read the information carefully and answer the given questions.What is det (2AB) equal to? Let A and B be 3 × 3 matrices with det A = 4 and det B = 3 .(a) 96(b) 72(c) 48(d) 36Correct Answer: (a) 96Solution:28. What is det (3 AB⁻¹) equal to?Let A and B be 3 × 3 matrices with det A = 4 and det B = 3 .(a) 12(b) 18(c) 36(d) 48Correct Answer: (c) 36Solution:29. Question:- (29 to 30) : Read the information carefully and answer the given questions. A complex number is given by:What is the modulus of z? (a) 4(b) 2(c) 1(d) 1/2Correct Answer: (c) 1Solution:30. What is the principal argument of z?(a) 0(b) π/4(c) π/2(d) πCorrect Answer: (a) 0Solution:Submit Quiz« Previous12345Next »