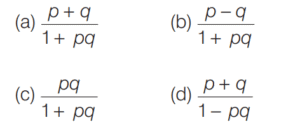
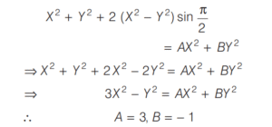
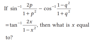
Mathematics (NDA/NA SOLVED PAPER 2019 (I) (01 to 50)Total Questions: 5031. What is the value of:(a) −2(b) −1(c) 2(d) 1Correct Answer: (a) −2Solution:32. tan54° can be expressed as:(a)(b)(c)(d)Correct Answer: (c)Solution:33. Question:- (33 to 35) : Read the given information carefully and answer the given questions:What is the value of θ?(a) π/2(b) π/3(c) π/4(d) π/6Correct Answer: (c) π/4Solution:34. What is the value of A?(a) 4(b) 3(c) 2(d) 1Correct Answer: (b) 3Solution:35. What is the value of B?(a) −1(b) 0(c) 1(d) 2Correct Answer: (b) 0Solution:B = − 136. Question:- (36 to 37) Read the given information carefully and answer the given questions:What is cos( ) α − β equal to? (a)(b)(c)(d)Correct Answer: (a)Solution:37. What is sin²(α − β) + 2ab cos (α − β) equal to?(a) a² + b²(b) a² - b²(c) b² - a²(d) -(a² + b²)Correct Answer: (a) a² + b²Solution:38. If sin α + cos α = p, then what is cos²(2α) equal to?(a) p²(b) p² - 1(c) p²(2 - p²)(d) p² + 1Correct Answer: (c) p²(2 - p²)Solution:39. Simplify the equation?(a) π/4(b) π/2(c) π(d) 0Correct Answer: (d) 0Solution:40. Simplify the equation?(a)(b)(c)(d)Correct Answer: (b)Solution:Submit Quiz« Previous12345Next »