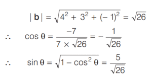
Mathematics (NDA/NA SOLVED PAPER 2019 (I) (51 to 100)Total Questions: 5011. The centroid of the triangle with vertices A(2, -3, 3), B(5, -3, -4) and C(2, -3, -2) is the point:(a) (-3, 3, -1)(b) (3, -3, -1)(c) (3, 1, -3)(d) (-3, -1, -3)Correct Answer: (b) (3, -3, -1)Solution:12. What is the radius of the sphere x² + y² + z² - 6x + 8y - 10z + 1 = 0?(a) 5(b) 2(c) 7(d) 3Correct Answer: (c) 7Solution:13. The equation of the plane passing through the intersection of the planes 2x + y + 2z = 9, 4x - 5y - 4z = 1 and the point (3, 2, 1) is:(a) 10x - 2y + 2z = 28(b) 10x + 2y + 2z = 28(c) 10x + 2y - 2z = 28(d) 10x - 2y - 2z = 24Correct Answer: (a) 10x - 2y + 2z = 28Solution:14. The distance between the parallel planes 4x - 2y + 4z + 9 = 0 and 8x - 4y + 8z + 21 = 0?(a) 1/4(b) 1/2(c) 3/2(d) 7/4Correct Answer: (a) 1/4Solution:15. What are the direction cosines of Z-axis?(a)(b)(c)(d)Correct Answer: (d)Solution:Direction cosines of Z-axis are <cos 90°, cos 90°, cos 0°> <0, 0, 1>16. Find the answer of given question?(a) 106(b) −106(c) 53(d) −53Correct Answer: (b) −106Solution:17. Find the answer of given question?(a) √14(b) √29(c) √43(d) √53Correct Answer: (d) √53Solution:18. If in a right angled triangle ABC, hypotenuse AC = p, then what is AB ⋅ AC + BC ⋅ BA + CA ⋅ CB equal to?(a) p²(b) 2p²(c) p²/2(d) pCorrect Answer: (a) p²Solution:19. solve the following equation?(a) 1/√26(b) 5/√26(c) 5/26(d) 1/26Correct Answer: (b) 5/√26Solution:20. Find the answer of given equation?(a) 1(b) 2(c) 3(d) 4Correct Answer: (d) 4Solution:Submit Quiz« Previous12345Next »