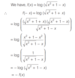
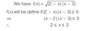
Mathematics (NDA/NA SOLVED PAPER 2019 (I) (51 to 100)Total Questions: 5021. What is the derivative of sec²(tan⁻¹x) with respect to x?(a) 2x(b) x² + 1(c) x + 1(d) x²Correct Answer: (a) 2xSolution:22. If f (x) = log₁₀ (1 + x), then what is 4 f (4) + 5 f (1) - log₁₀ 2 equal to?(a) 0(b) 1(c) 2(d) 4Correct Answer: (d) 4Solution:23. Find the answer of given equation?(a) an even function(b) an odd function(c) both even and odd function(d) neither even nor odd functionCorrect Answer: (b) an odd functionSolution:24. The domain of the function f defined by f (x) = logₓ 10 is:(a)(b)(c)(d)Correct Answer: (d)Solution:25. Simplify the equation?(a) 0(b) 12(c) 24(d) 36Correct Answer: (c) 24Solution:26. For r > 0, f (r) is the ratio of perimeter to area of a circle of radius r. Then, f(1) + f(2) is equal to?(a) 1(b) 2(c) 3(d) 4Correct Answer: (c) 3Solution:27. If f (x) = 3¹ ⁺ ˣ, then f (x) f (y) f (z) is equal to?(a) f(x + y + z)(b) f(x + y + z + 1)(c) f(x + y + z + 2)(d) f(x + y + z + 3)Correct Answer: (c) f(x + y + z + 2)Solution:28. The number of real roots for the equation x² + 9 |x| + 20 = 0 is:(a) zero(b) one(c) two(d) threeCorrect Answer: (a) zeroSolution:29. If f (x) = sin(cos x), then f '(x) is equal to?(a) cos(cos x)(b) sin(-sin x)(c) (sin x) cos (cos x)(d) (-sin x) cos (cos x)Correct Answer: (d) (-sin x) cos (cos x)Solution:30. Simplify the question?(a) (0, ∞)(b) [0 ,∞ )(c) [2, 3](d) (2, 3)Correct Answer: (c) [2, 3]Solution:Submit Quiz« Previous12345Next »