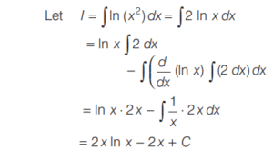
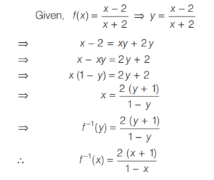
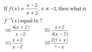
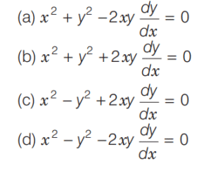
Mathematics (NDA/NA SOLVED PAPER 2019 (I) (51 to 100)Total Questions: 5031. Find the answer of given equation?(a)(b)(c)(d)Correct Answer: (a)Solution:32. Simplify the equation?(a) 0(b) 2 (√2 -1)(c) 2√2(d) 2(√2 + 1)Correct Answer: (b) 2 (√2 -1)Solution:33. If y = a cos 2x + b sin2x, then:(a)(b)(c)(d)Correct Answer: (d)Solution:34. A given quantity of metal is to be cast into a half cylinder (i.e. with a rectangular base and semicircular ends). If the total surface area is to be minimum, then the ratio of the height of the half cylinder to the diameter of the semicircular ends is:(a) π : (π + 2)(b) (π + 2) : π(c) 1 : 1(d) None of theseCorrect Answer: (a) π : (π + 2)Solution:35. Find the answer of given question?(a) e + 1(b) e − 1(c) e + 2(d) eCorrect Answer: (b) e − 1Solution:36. Find the answer of given equation?(a)(b)(c)(d)Correct Answer: (d)Solution:37. Simplify the equation?(a)(b)(c)(d)Correct Answer: (a)Solution:38. The minimum distance from the point (4, 2) to y² = 8x is equal to?(a) √2(b) 2√2(c) 2(d) 3√2Correct Answer: (b) 2√2Solution:39. The differential equation of the system of circles touching the Y - axis at the origin is:(a)(b)(c)(d)Correct Answer: (c)Solution:40. Simplify the question?(a) Only 1(b) Only 2(c) Both 1 and 2(d) Neither 1 nor 2Correct Answer: (c) Both 1 and 2Solution:The order of highest order derivative occuring in the differential equation is 2 and its degree is 1.Submit Quiz« Previous12345Next »