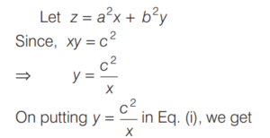
Mathematics (NDA/NA SOLVED PAPER 2019 (I) (51 to 100)Total Questions: 5041. What is the general solution of the differential equation dy/dx + x/y = 0?(a) x² + y² = C(b) x² - y² = C(c) x² + y² = Cxy(d) x + y = CCorrect Answer: (a) x² + y² = CSolution:42. Simplify the equation?(a) 2(b) 1(c) −1(d) 0Correct Answer: (d) 0Solution:43. What is the minimum value of a²x + b²y where xy = c²?(a) abc(b) 2abc(c) 3abc(d) 4abcCorrect Answer: (b) 2abcSolution:44. Find the answer of given equation?(a)(b)(c)(d)Correct Answer: (a)Solution:45. What is the area of one of the loops between the curve y = c sin x and X -axis?(a) c(b) 2c(c) 3c(d) 4cCorrect Answer: (d) 4cSolution:46. If sinθ + cosθ = √2 cosθ, then what is (cosθ - sinθ) equal to?(a) -√2cosθ(b) -√2 sinθ(c) -√2sinθ(d) 2 sinθCorrect Answer: (c) -√2sinθSolution:47. In a circle of diameter 44 cm, the length of a chord is 22 cm. What is the length of minor arc of the chord?(a) 484/21 cm(b) 242/21 cm(c) 121/21 cm(d) 44/7 cmCorrect Answer: (a) 484/21 cmSolution:48. If sinθ = − 1/2 and tanθ = 1√3, then in which quadrant does θ lie?(a) First(b) Second(c) Third(d) FourthCorrect Answer: (c) ThirdSolution:We know that, if θ lies in third quadrant then, sinθ < 0 and tanθ > 0.49. How many three digit even numbers can be formed using the digits 1, 2, 3, 4 and 5 when repetition of digits is not allowed?(a) 36(b) 30(c) 24(d) 12Correct Answer: (c) 24Solution:Here, unit digit can be filled by 2 or 4. So number of ways is 2. Since repetition is not allowed therefore hundred place and ten place can be fill in ⁴C₂ × 2 ways. ∴ Total number of three-digit even number = 4 × 3 × 2 = 2450. The angle of elevation of a tower of height h from a point A due South of it is x and from a point B due East of A is y. If AB = z, then which one of the following is correct?(a) h²(cot² y - cot² x) = z²(b) z²(cot² y - cot² x) = h²(c) h²(tan² y - tan² x) = z²(d) z²(tan² y - tan² x) = h²Correct Answer: (a) h²(cot² y - cot² x) = z²Solution:Submit Quiz« Previous12345