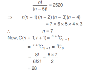
Mathematics NDA/NA SOLVED PAPER 2019 (II) (01 to 50)Total Questions: 5021. If x = 1 + i , then what is the value of x⁶ + x⁴ + x² + 1?(a) 6i - 3(b) -6i + 3(c) - 6i - 3(d) 6i + 3Correct Answer: (c) - 6i - 3Solution:22. What is the value of:(a) √2 - 1(b) √2 + 1(c) 3(d) 4Correct Answer: (b) √2 + 1Solution:23. If P (n, r) = 2520 and C (n, r) = 21, then what is the value of C(n + 1, r + 1)?(a) 7(b) 14(c) 28(d) 56Correct Answer: (c) 28Solution:24. How many terms are there in the expansion of (1 + 2x + x²)⁵ + (1 + 4y + 4y²)⁵?(a) 12(b) 20(c) 21(d) 22Correct Answer: (d) 22Solution:25. If the middle term in the expansion of (x² + 1/x)²ⁿ is 184756x¹⁰, then what is the value of n?(a) 10(b) 8(c) 5(d) 4Correct Answer: (a) 10Solution:26. Find the value?(a) Both AB and BA exist(b) Neither AB nor BA exists(c) AB exists but BA does not exist(d) AB does not exist but BA existsCorrect Answer: (c) AB exists but BA does not existSolution:27. If n! has 17 zeros, then what is the value of n?(a) 95(b) 85(c) 80(d) No such value of n existsCorrect Answer: (b) 85Solution:We know that each interval of 5!is one zero. i.e. 5! has one zero. 10! has two zeros. ∴ 85! has 17 zeros. Hence, the value of n is 85.28. Find the value?(a)(b)(c)(d)Correct Answer: (c)Solution:29. Simplify the problem given below?(a) ±2(b) ±3(c) ±5(d) ±9Correct Answer: (b) ±3Solution:30. What is C(47, 4) + C(51, 3) + C(50 , 3) + C(48 , 3) + (47, 3) equal to?(a) C(47, 4)(b) C(52, 5)(c) C(52, 4)(d) C(47, 5)Correct Answer: (c) C(52, 4)Solution:Submit Quiz« Previous12345Next »