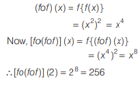
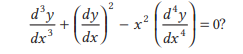
Mathematics NDA/NA SOLVED PAPER 2019 (II) (51 to 100)Total Questions: 5021. What is the area of the region bounded by |x| < 5, y = 0 and y = 8?(a) 40 sq units(b) 80 sq units(c) 120 sq units(d) 160 sq unitsCorrect Answer: (b) 80 sq unitsSolution:22. Find the answer of given equation?(a) Only 1(b) Only 2(c) Both 1 and 2(d) Neither 1 nor 2Correct Answer: (d) Neither 1 nor 2Solution:23. Find the answer of given equation?(a) 1/4(b) 1/3(c) 1/2(d) 1Correct Answer: (b) 1/3Solution:24. What is the degree of the differential equation:(a) 1(b) 2(c) 3(d) 4Correct Answer: (a) 1Solution:25. Which one of the following is the second degree polynomial function f(x) where, f(0) = 5, f(−1) = 10 and f (1) = 6?(a) 5x² - 2x + 5(b) 3x² - 2x - 5(c) 3x² - 2x + 5(d) 3x² - 10x + 5Correct Answer: (c) 3x² - 2x + 5Solution:26. What is the slope of the curve at the point of intersection P?Question:- (76 to 78) Read the following information and answer the three items that follow . A curve y = meᵐˣ where m > 0 intersects Y-axis at a point P.(a) m(b) m²(c) 2m(d) 2m²Correct Answer: (b) m²Solution:27. How much angle does the tangent at P make with y-axis?A curve y = meᵐˣ where m > 0 intersects Y-axis at a point P.(a)(b)(c)(d)Correct Answer: (c)Solution:28. What is the equation of tangent to the curve at P?A curve y = meᵐˣ where m > 0 intersects Y-axis at a point P.(a) y = m₂x + m(b) y = -mx + 2m(c) y = m²x + 2m(d) y = m²x + mCorrect Answer: (d) y = m²x + mSolution:29. Find the answer of given equation?Question:- (79 to 80) Read the following information and answer the two items that follow. Let f(x) = x², g(x) = tan x and h(x) = log x. (a) 0(b) 1(b) π/4(d) π/2Correct Answer: (a) 0Solution:Given, f(x) = x², g(x) = tan x and h(x) = log x 30. What is [fo(fof)] (2) equal to ?(a) 2(b) 8(c) 16(d) 256Correct Answer: (d) 256Solution:Given, f(x) = x², g(x) = tan x and h(x) = log x Submit Quiz« Previous12345Next »