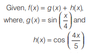
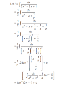
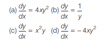
Mathematics NDA/NA SOLVED PAPER 2019 (II) (51 to 100)Total Questions: 5031. Simplify the equation?(a)(b)(c)(d)Correct Answer: (d)Solution:32. Simplify the question?(a)(b)(c)(d)Correct Answer: (d)Solution:33. Which one of the following is the differential equation that represents the family of curves y = 1/2x² - C, where C is an arbitrary constant?(a)(b)(c)(d)Correct Answer: (d)Solution:34. What is dy/dx at x = 1 equal to?Question:- (84 to 85) Read the following information and answer the two items that follow. Consider the equation xʸ = eˣ⁻ʸ (a) 0(b) 1(c) 2(d) 4Correct Answer: (a) 0Solution:35. What is d²y/dx² at x = 1 equal to?Consider the equation xʸ = eˣ⁻ʸ(a) 0(b) 1(c) 2(d) 4Correct Answer: (b) 1Solution:36. What is the period of the function g(x)?Question:- (86 to 88) Read the following information and answer the three items that follow. Consider the function (a) π(b) 2 π(c) 4π(d) 8πCorrect Answer: (d) 8πSolution:37. What is the period of the function h(x)?(a) π(b) 4π/5(c) 5π/2(d) 3π/2Correct Answer: (c) 5π/2Solution:38. What is the period of the function f(x)?(a) 10π(b) 20π(c) 40π(d) 80πCorrect Answer: (c) 40πSolution:39. In which one of the following intervals is the function increasing?Question:- (89 to 90) Read the following information and answer the two items that follow. consider the function f(x) = 3x⁴ - 20x³ - 12x² + 288x + 1(a) (-2, 3)(b) (3, 4)(c) (-3, 2)(d) (-4, -3)Correct Answer: (b) (3, 4)Solution:40. In which one of the following intervals is the function decreasing?f(x) = 3x⁴ - 20x³ - 12x² + 288x + 1(a) (-2, 3)(b) (3, 4)(c) (4, 6)(d) (6, 9)Correct Answer: (a) (-2, 3)Solution:Submit Quiz« Previous12345Next »