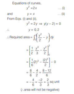
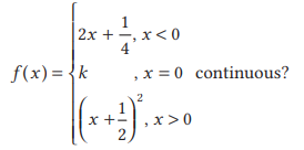
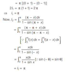
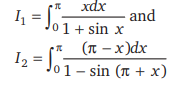
Mathematics NDA/NA SOLVED PAPER 2019 (II) (51 to 100)Total Questions: 5041. What are the roots of the equation g [f (x)] = 0?Question:- (91 to 93) Read the following information and answer the two items that follow . (a) 1, -1(b) -1, -1(c) 1, 1(d) 0, 1Correct Answer: (b) -1, -1Solution:42. Consider the following statements:1. f [g(x)] is a polynomial of degree 3. 2. g [g( x)] is a polynomial of degree 2. Which of the above statements is/are correct? (a) Only 1(b) Only 2(c) Both 1 and(d) Neither 1 nor 2Correct Answer: (d) Neither 1 nor 2Solution:43. If h (x) = 5 f(x) - xg (x), then what is the derivative of h(x)?(a) −40(b) −20(c) −10(d) 0Correct Answer: (b) −20Solution:44. What is the value of I₁?Question:- (94 to 95) Read the following information and answer the questions given below. Consider the integrals (a) 0(b) π/2(c) π(d) 2 πCorrect Answer: (c) πSolution:45. What is the value of I₁ + I₂?(a) 2 π(b) π(c) π/2(d) 0Correct Answer: (a) 2 πSolution:46. The differential equation which represents the family of curves given by tan y = C(1 - eˣ) is:(a)(b)(c)(d)Correct Answer: (b)Solution:47. What is the derivative of 2⁽ˢⁱⁿ ˣ⁾² with respect to sin x?(a)(b)(c)(d)Correct Answer: (a)Solution:48. For what value of k is the function:(a) 1/4(b) 1/2(c) 1(d) 2Correct Answer: (a) 1/4Solution:49. What is the area of the region enclosed between the curve y² = 2x and the straight line y = x?(a) 2/3 sq unit(b) 4/3 sq unit(c) 1/3 sq unit(d) 1 sq unitCorrect Answer: (a) 2/3 sq unitSolution:50. If f (x) = x³/3 - 5x²/2 + 6x + 7 increases in the interval T and decreases in the interval S, then which one of the following is correct?(a)(b)(c)(d)Correct Answer: (a)Solution:Submit Quiz« Previous12345