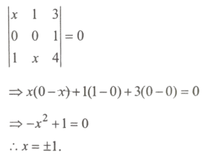
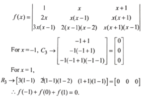
Mathematics (NDA/NA SOLVED PAPER 2021-I) (01 to 50)Total Questions: 5011. If A and B are two matrices such that AB is of order n × n, then which one of the following is correct?(a) A and B should be square matrices of same order.(b) Either A or B should be a square matrix.(c) Both A and B should be of same order.(d) Orders of A and B need not be the same.Correct Answer: (d) Orders of A and B need not be the same.Solution:Hence, order of A and B need not to be same.12. How many matrices of different orders are possible with elements comprising all prime numbers less than 30?(a) 2(b) 3(c) 4(d) 6Correct Answer: (c) 4Solution:Prime number less than 30 are 2, 3, 5, 7, 11, 13, 17, 19, 23 and 29. Number of prime number = 10. Different order of matrices: 1 × 10, 10 × 1, 2 × 5, and 5 × 2.13. Find the value?(a) 215(b) 311(c) 317(d) 323Correct Answer: (c) 317Solution:14. If A and B are square matrices of order 2 such that det(AB) = det(BA), then which one of the following is correct?(a) A must be a unit matrix.(b) B must be a unit matrix.(c) Both A and B must be unit matrices.(d) A and B need not be unit matrices.Correct Answer: (d) A and B need not be unit matrices.Solution:15. What is cot 2x cot 4x - cot 4x cot 6x - cot 6x cot 2x equal to?(a) -1(b) 0(c) 1(d) 2Correct Answer: (c) 1Solution:16. If tan x = - 3/4 and x is in the second quadrant, then what is the value of sin x .cos x ?(a) 6/25(b) 12/25(c) - 6/25(d) - 12/25Correct Answer: (d) - 12/25Solution:17. What is the value of the following?(a) 4/3(b) 4(c) -4(d) -4/√3Correct Answer: (c) -4Solution:18. Find the value?(a) -2 or 2(b) -3 or 3(c) -1 or 1(d) 3 or 4Correct Answer: (c) -1 or 1Solution:19. What is the value of the following?tan 31° tan 33° tan 35°______tan 57° tan 59°(a) -1(b) 0(c) 1(d) 2Correct Answer: (c) 1Solution:20. Find the value?(a) 0(b) 1(c) 100(d) -100Correct Answer: (a) 0Solution:Submit Quiz« Previous12345Next »