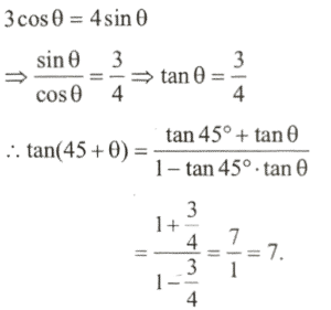
Mathematics (NDA/NA SOLVED PAPER 2021-I) (01 to 50)Total Questions: 5021. The equation sin⁻¹x - cos⁻¹x = π/6 has(a) no solution(b) unique solution(c) two solutions(d) infinite number of solutionsCorrect Answer: (b) unique solutionSolution:22. What is the value of the following?(sin 24° + cos 66°) (sin 24°- cos 66°)(a) -1(b) 0(c) 1(d) 2Correct Answer: (b) 0Solution:23. A chord subtends an angle 120° at the centre of a unit circle. What is the length of the chord?(a) √2 -1 units(b) √3 -1 units(c) √2 units(d) √3 unitsCorrect Answer: (d) √3 unitsSolution:24. What is 1 + cot θ - cosecθ ) (1+ tan θ + sec θ) equal to?(a) 1(b) 2(c) 3(d) 4Correct Answer: (b) 2Solution:25. equal to?(a) 0(b) 1(c) 2 tan θ(d) 2 cot θCorrect Answer: (b) 1Solution:26. What is the interior angle of a regular octagon of side length 2 cm?(a) π/2(b) 3π/4(c) 3π/5(d) 3π/8Correct Answer: (b) 3π/4Solution:27. If 7 sin θ+ 24 cos θ = 25, then what is the value of (sin θ + cos θ)?(a) 1(b) 26/25(c) 6/5(d) 31/25Correct Answer: (d) 31/25Solution:28. A ladder 6 m long reaches a point 6 m below the top of a vertical flagstaff. From the foot of the ladder, the elevation of the top of the flagstaff is 75°. What is the height of the flagstaff?(a) 12 m(b) 9 m(c) (6 + √3) m(d) (6 + 3√3) mCorrect Answer: (d) (6 + 3√3) mSolution:Let AC is a flagstaff of length h m and BD is a ladder of length 6 m. Point B is below the top of the flagstaff, such that AB = 6m. Then, <ADCn= 75°. Hence, height of flagstaff = (6 + 3√3) m.29. The shadow of a tower is found to be x metre longer, when the angle of elevation of the sun changes from 60° to 45°. If the height of the tower is 5 (3 + √3) m, then what is x equal to?(a) 8m(b) 10m(c) 12m(d) 15mCorrect Answer: (b) 10mSolution:Shadow length when elevation of sun is 60° = BC30. If 3 cos θ = 4sin θ, then what is the value of tan( 45° + θ)?(a) 10(b) 7(c) 7/2(d) 7/4Correct Answer: (b) 7Solution:Submit Quiz« Previous12345Next »