Mathematics (NDA/NA SOLVED PAPER 2021-I) (01 to 50)

Total Questions: 50

31. tan⁻¹x + cot⁻¹x = π/2 holds, when

Correct Answer: (a) x ∈ R
Solution:tan⁻¹ (x) + cot⁻¹ (x) = π/2
This hold for all x ∈ R.

32. If tan A = 1/7, then what is cos 2A equal to?

Correct Answer: (a) 24/25
Solution:

33. The sides of a triangle are m, n and √m² + n² + mn.

What is the sum of the acute angles of the triangle?

Correct Answer: (b) 60°
Solution:

34. What is the area of the triangle ABC with sides a = 10 cm, c = 4 cm and angle B = 30°?

Correct Answer: (c) 10 cm²
Solution:

35. Consider the following statements:

1. A = (1, 3, 5) and B = (2, 4, 7) are equivalent sets.
2. A = (1, 5, 9) and B = (1, 5, 5, 9, 9) are equal sets.
Which of the above statements is/are correct?

Correct Answer: (c) Both 1 and 2
Solution:1. A = { 1, 3, 5} and B = {2, 4, 7} are equivalent sets, because number of elements are equal.
2. A = {1, 5, 9} and B = {1, 5, 5, 9, 9} = {1, 5, 9} are equal sets, as A and B have all common elements.

36. Consider the following statements:

1. The null set is a subset of every set.
2. Every set is a subset of itself.
3. If a set has 10 elements, then its power set will have 1024 elements.
Which of the above statements are correct?

Correct Answer: (d) 1, 2 and 3
Solution:All three statements are true.

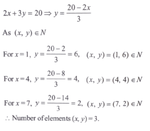
37. Let R be a relation defined as xRy if and only if

2x + 3y = 20, where x, y ∈ N. How many elements of the form (x, y) are there in R?

Correct Answer: (b) 3
Solution:

38. Consider the following statements:

1. A function f : Z → Z, defined by f(x) = x + 1, is one - one as well as onto.
2. A function f : N → N, defined by f(x) = x + 1, is one-one but not onto.
Which of the above statements is/are correct?

Correct Answer: (c) Both 1 and 2
Solution:

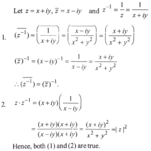
39. Consider the following in respect of a complex number Z:

Which of the above is/are correct?

Correct Answer: (c) Both 1 and 2
Solution:

40. Consider the following statements in respect of an arbitrary complex number Z:

1. The difference of Z and its conjugate is an imaginary number.
2. The sum of Z and its conjugate is a real number.
Which of the above statements is/are correct?

Correct Answer: (c) Both 1 and 2
Solution: