Mathematics (NDA/NA SOLVED PAPER 2021-I) (01 to 50)

Total Questions: 50

41. What is the modulus of the complex number

i²ⁿ ⁺ ¹ (- i)²ⁿ ⁻ ¹, where n ∈ N and i = √-1 ?

Correct Answer: (b) 1
Solution:

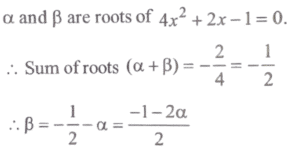
42. If α and β are the roots of the equation 4x² + 2x - 1 = 0, then which one of the following is correct?

Correct Answer: (a) β = - 2α² - 2α
Solution:

43. If one root of 5x² + 26x + k = 0 is reciprocal of the other, then what is the value of k?

Correct Answer: (c) 5
Solution:As one root is reciprocal of the other.
Product of roots = 1.
K/5 = 1 ⇒ K = 5.

44. In how many ways can a team of 5 players be selected from 8 players so as not to include a particular player?

Correct Answer: (c) 21
Solution:Total number of players (excluding one particular player) = 8 - 1 = 7.
Required number of ways selection = ⁷C₅ = 21

45. What is the coefficient of the middle term in the expansion of (1 + 4x + 4x²)⁵ ?

Correct Answer: (a) 8064
Solution:

46. What is C (n,1) + C (n,2) +______+C (n, n) equal to?

Correct Answer: (c) 1 + 2 + 2² + 2³ +_____+2ⁿ⁻¹
Solution:

47. What is the sum of the coefficients of first and last terms in the expansion of (1 + x)²ⁿ, where n is a natural number?

Correct Answer: (b) 2
Solution:

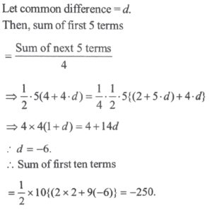
48. If the first term of an AP is 2 and the sum of the first five terms is equal to one-fourth of the sum of the next five terms, then what is the sum of the first ten terms?

Correct Answer: (b) -250
Solution:

49. Consider the following statements:

1. If each term of a GP is multiplied by same non-zero number, then the resulting sequence is also a GP.
2. If each term of a GP is divided by same non-zero number, then the resulting sequence is also a GP.
Which of the above statements is/are correct?

Correct Answer: (c) Both 1 and 2
Solution:Both (1) and (2) are true.

50. How many 5-digit prime numbers can be formed using the digits 1, 2, 3, 4, 5 if the repetition of digits is not allowed?

Correct Answer: (d) 0
Solution:Any 5-digits number formed by the digits 1, 2, 3, 4 and 5
(without repetition) will be always divisible by number 3, because sum of digits of any number, thus formed 1 + 2 + 3 + 4 + 5 = 15, is divisible by 3.
Hence, prime number of 5 digits can not be obtained by using the digits
1, 2, 3, 4, 5.