Mathematics (NDA/NA SOLVED PAPER 2021-I) (51 to 100)

Total Questions: 50

21. Find the value?

Correct Answer: (c) √2, √2
Solution:

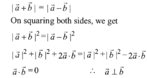
22. Consider the following statements in respect of a vector

Which of the above statements is/are correct?

Correct Answer: (c) Both 1 and 2
Solution:

23. If 𝑎 ⃗ and 𝑏 ⃗ are two vectors such that

Correct Answer: (c)
Solution:

24. equal to?

Correct Answer: (c) 0
Solution:

25. Consider the following statements:

1. The cross product of two unit vectors is always a unit vector.
2. The dot product of two unit vectors is always unity.
3. The magnitude of sum of two unit vectors is always greater than the magnitude of their difference.
Which of the above statements are not correct?

Correct Answer: (d) 1, 2 and 3
Solution:

26. Find the value?

Correct Answer: (c) 1
Solution:

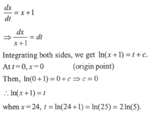
27. A particle starts from origin with a velocity (in m/s) given by the equation dx/dt = x + 1. The time (in second) taken by the particle to traverse a distance of 24 m is

Correct Answer: (c) 2 ln 5
Solution:

28. equal to?

Correct Answer: (d) a/2
Solution:

29. equal to?

Correct Answer: (b) 1
Solution:

30. equal to?

Correct Answer: (a) f(x)
Solution: