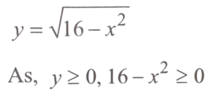
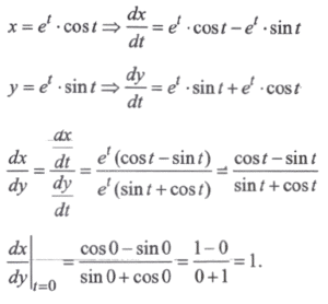
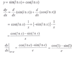
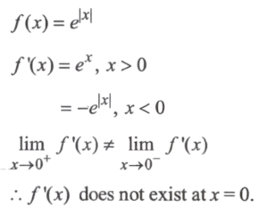
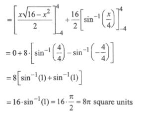
Mathematics (NDA/NA SOLVED PAPER 2021-I) (51 to 100)Total Questions: 5031. What is the area bounded by y = √16 - x²y >= 0 and the x-axis?(a) 16π square units(b) 8π square units(c) 4π square units(d) 2π square unitsCorrect Answer: (b) 8π square unitsSolution:32. The curve y = - x³ + 3x² + 2x - 27 has the maximum slope at(a) x = - 1(b) x = 0(c) x = 1(d) x = 2Correct Answer: (c) x = 1Solution:33. A 24 cm long wire is bent to form a triangle with one of the angles as 60°. What is the altitude of the triangle having the greatest possible area?(a) 4√3 cm(b) 2√3 cm(c) 6cm(d) 3 cmCorrect Answer: (a) 4√3 cmSolution:34. If f(x) = e|ˣ|, then which one of the following is correct?(a) f' (0) = 1(b) f' (0) = - 1(c) f' (0) = 0(d) f' (0) does not existCorrect Answer: (d) f' (0) does not existSolution:35. equal to?(a) ln (sec x) + ln | sec x + tan x | + c(b) ln (sec x) - ln | sec x + tan x | + c(c) sec x tan x - ln | sec x - tan x | + c(d) ln | sec x + tan x | - ln | sec x | + cCorrect Answer: (d) ln | sec x + tan x | - ln | sec x | + cSolution:36. equal to?(a) sin⁻¹ x + c(b) tan⁻¹ x + c(c) sec⁻¹ x + c(d) cos⁻¹ x + cCorrect Answer: (b) tan⁻¹ x + cSolution:37. If x + y = 20 and P = xy, then what is the maximum value of P?(a) 100(b) 96(c) 84(d) 50Correct Answer: (a) 100Solution:38. What is the derivative of sin (ln x) + cos (ln x) with respect to x at x = e ?(a)(b)(c)(d)Correct Answer: (a)Solution:39. x = eᵗ cos t and y = eᵗ sin t, then what is dx/dy at t = 0 equal to?(a) 0(b) 1(c) 2e(d) -1Correct Answer: (b) 1Solution:40. What is the maximum value of sin 2x . cos 2x?(a) 1/2(b) 1(c) 2(d) 4Correct Answer: (a) 1/2Solution:Submit Quiz« Previous12345Next »