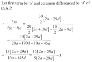
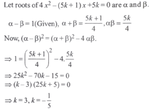
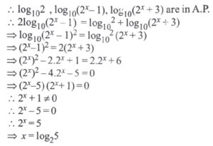
Mathematics NDA/NA SOLVED PAPER 2021-II (01 to 50)Total Questions: 5011. Let ABC be a triangle. If cos 2A + cos 2B + cos 2C = - 1 then which one of the following is correct?(a) sin A sin B sin C = 0(b) sin A sin B cos C = 0(c) cos A sin B sin C = 0(d) cos A cos cos C = 0Correct Answer: (d) cos A cos cos C = 0Solution:12. What is the value of the following determinant?(a) -1(b) 0(c) 2tan A sin B sin C(d) - 2tan A sin B sin CCorrect Answer: (b) 0Solution:cos C (tan A. sin B) - tan A (sin B . cos C) = 0.13. Suppose set A consists of first 250 natural numbers that are multiples of 3 and set B consists of first 200 even natural numbers. How many elements does A ∪ B have?(a) 324(b) 364(c) 384(d) 400Correct Answer: (c) 384Solution:14. Let Sₖ denote the sum of first k terms of an AP. What is S₃₀/ S₂₀ - S₁₀ equal to?(a) 1(b) 2(c) 3(d) 4Correct Answer: (c) 3Solution:15. If the roots of the equation 4x²- (5k + 1)x + 5k = 0 differ by unity, then which one of the following is a possible value of k?(a) -3(b) -1(c) - 1/5(d) - 3/5Correct Answer: (c) - 1/5Solution:16. x² + x + 1 = 0 then what is the value of x¹⁹⁹ + x²⁰⁰ + x²⁰¹?(a) -1(b) 0(c) 1(d) 3Correct Answer: (b) 0Solution:17. If x, y, z are in GP, then which of the following is/are correct?1. ln(3x), In (3y), In (3z) are in AP 2. xyz +ln(), xyz + ln(y), xyz + ln(z) are in HP Select the correct answer using the code given below.(a) 1 only(b) 2 only(c) Both 1 and 2(d) Neither 1 nor 2Correct Answer: (a) 1 onlySolution:18. If log₁₀ 2, log₁₀(2ˣ - 1), log₁₀(2ˣ + 3) are in AP, then what is x equal to?(a) 0(b) 1(c) log₂ 5(d) log₅ 2Correct Answer: (c) log₂ 5Solution:19. Let S = {2, 3, 4, 5, 6, 7, 9}. How many different 3-digit numbers (with all digits different) from S can be made which are less than 500?(a) 30(b) 49(c) 90(d) 147Correct Answer: (c) 90Solution:n(s) = 7 For 3 digit numbers less than 500 (recetion not allowed) Numbers of digits choice for hundred place (2, 3, 4) = 3 Numbers of digits choice for tens place = 6 Numbers of digits choice for once place = 5 Total numbers of 3 digit numbers less than 500 = 3 × 6 × 5 = 9020. If p =(1111.....up to n digits), then what is the value of 9p² + p(a) 10ⁿ p(b) 2p. 10ⁿ(c) 10ⁿ p - 1(d) 10ⁿ p + 1Correct Answer: (a) 10ⁿ pSolution:Submit Quiz« Previous12345Next »