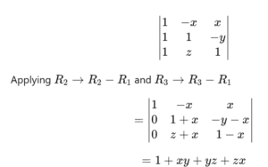
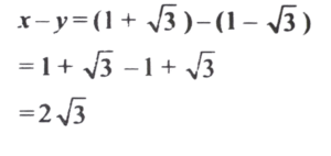
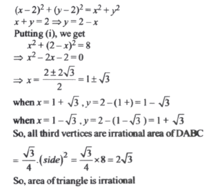
Mathematics NDA/NA SOLVED PAPER 2021-II (01 to 50)Total Questions: 5031. Consider the digits 3, 5, 7, 9. What is the number of 5-digit numbers formed by these digits in which each of these four digits appears?(a) 240(b) 180(c) 120(d) 60Correct Answer: (a) 240Solution:32. How many distinct matrices exist with all four entries taken from {1, 2}?(a) 16(b) 24(c) 32(d) 48Correct Answer: (a) 16Solution:Number of matrices exist with all four entries taken from(1, 2) = 2 × 2 × 2 × 2 = 16.33. If i = √-1, then how many values does i⁻²ⁿ have for different n ∈ Z?(a) One(b) Two(c) Four(d) InfiniteCorrect Answer: (b) TwoSolution:34. If x = a/b - c, y = b/c - a, z = c/a - b then what is the value of the following?(a) 0(b) 1(c) abc(d) ab + bc + caCorrect Answer: (a) 0Solution:35. Consider the following in respect of the Matrix1. Inverse of A does not exist 2. A³ = A 3. 3A = A² Which of the above are correct?(a) 1 and 2 only(b) 2 and 3 only(c) 1 and 3 only(d) 1, 2 and 3Correct Answer: (c) 1 and 3 onlySolution:36. What are the coordinates of the centre of the circle?A circle is passing through the points (5, -8), (-2, 9) and (2, 1).(a) (-2,-50)(b) (50,20)(c) (-24,-58)(d) (-58,-24)Correct Answer: (d) (-58,-24)Solution:37. If r is the radius of the circle, then which one of the following is correct?A circle is passing through the points (5, -8), (-2, 9) and (2, 1).(a) r < 10(b) 10 < r < 30(c) 30 < r < 60(d) r > 60Correct Answer: (d) r > 60Solution:38. Consider the following statements:The two vertices of an equilateral triangle are (0, 0) and (2, 2). 1. The third vertex has at least one irrational coordinate. 2. The area is irrational. Which of the above statements is/are correct?(a) 1 only(b) 2 only(c) Both 1 and 2(d) Neither 1 nor 2Correct Answer: (c) Both 1 and 2Solution:39. The difference of coordinates of the third vertex isThe two vertices of an equilateral triangle are (0, 0) and (2, 2).(a) 0(b) √3(c) 2√2(d) 2√3Correct Answer: (d) 2√3Solution:40. What is the equation of the diagonal BD?The coordinates of three consecutive vertices of a parallelogram ABCD are A(1, 3), B(- 1, 2) and C (3, 5).(a) 2x - 3y + 2 = 0(b) 3x - 2y + 5 = 0(c) 2x - 3y + 8 = 0(d) 3x - 2y - 5 = 0Correct Answer: (c) 2x - 3y + 8 = 0Solution:Submit Quiz« Previous12345Next »