Mathematics NDA/NA SOLVED PAPER 2021-II (01 to 50)

Total Questions: 50

41. What is the area of the parallelogram?

The coordinates of three consecutive vertices of a parallelogram
ABCD are A(1, 3), B(- 1, 2) and C (3, 5).

Correct Answer: (c) 2 square units
Solution:

42. What is the equation of the altitude through B on AC?

The equations of the sides AB, BC and CA of a triangle ABC are
x - 2 = 0, y + 1 = 0 and x + 2y - 4 = 0 respectively.

Correct Answer: (d) 2x - y - 5 = 0
Solution:

43. What are the coordinates of circumcentre of the triangle?

The equations of the sides AB, BC and CA of a triangle ABC are
x - 2 = 0, y + 1 = 0 and x + 2y - 4 = 0 respectively.

Correct Answer: (a) (4, 0)
Solution:

44. What is the maximum number of parabolas that can be drawn through these two points as end points of latus rectum?

The two ends of the latus rectum of a parabola are (-2, 4) and (-2, -4).

Correct Answer: (b) Two
Solution:

45. Consider the following statements in respect of such parabolas:

The two ends of the latus rectum of a parabola are (-2, 4) and (-2, -4).
1. One of the parabolas passes through the origin (0,0).
2 The focus of one of the parabolas lies at (-2, 0).
Which of the above statements is/are correct?

Correct Answer: (c) Both 1 and 2
Solution:Both parabola have same focus (-2, 0)
and one of the parabola has vertex (0, 0) and other has (-4, 0)

46. If sin θ and cos θ are the roots of the equation ax² + bx + c = 0 then which one of the following is correct?

Correct Answer: (c) a² - b² + 2ac = 0
Solution:

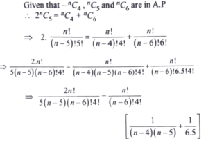
47. If C(n, 4), C(n, 5) and C(n, 6) are in AP, then what is the value of n?

Correct Answer: (a) 7
Solution:

48. How many 4-letter words (with or without meaning) containing two vowels can be constructed using only the letters (without repetition) of the word 'LUCKNOW'?

Correct Answer: (a) 240
Solution:

49. Suppose 20 distinct points are placed randomly on a circle. Which of the following statements is/are correct?

1. The number of straight lines that can be drawn by joining any two of these points is 380.
2. The number of triangles that can be drawn by joining any three of these points is 1140.
Select the correct answer using the code given below.

Correct Answer: (b) 2 only
Solution:Number of St.lines = ²⁰C₂ = 190
Number of triangles = ²⁰C₃ = 1140

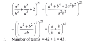
50. How many terms are there in the expansion of

where a ≠ 0, b ≠ 0?

Correct Answer: (d) 43
Solution: