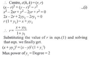
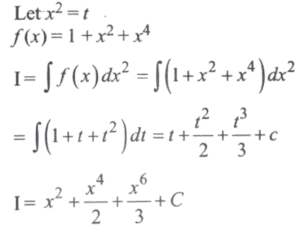
Mathematics NDA/NA SOLVED PAPER 2021-II (101 to 120)Total Questions: 2011. What is the integral of f(x) = 1 + x ^ 2 + x ^ 4 with respect to x²?(a)(b)(c)(d)Correct Answer: (d)Solution:12. Consider the following statements in respect of the function f(x) = x² + 1 in the interval (1, 2).1. The maximum value of the function is 5. 2. The minimum value of the function is 2. Which of the above statements is/are correct?(a) 1 only(b) 2 only(c) Both 1 and 2(d) Neither 1 nor 2Correct Answer: (d) Neither 1 nor 2Solution:13. equal to?(a) -1(b) 0(c) 1(d) 2Correct Answer: (b) 0Solution:14. equal to?(a) -1(b) 0(c) 1(d) 2Correct Answer: (c) 1Solution:15. Find the value?(a) A + B = 0(b) A + B - 2 = 0(c) A + B + 2 = 0(d) A + B - 1 = 0Correct Answer: (b) A + B - 2 = 0Solution:16. What is the order of the differential equation of all ellipses whose axes are along the coordinate axes?(a) 1(b) 2(c) 3(d) 4Correct Answer: (b) 2Solution:The general equation of all ellipses whose axes are along the coordinate axes, x²/a² + y²/b² = 1 The above equation has two arbitary constants, so the differential equation will have order 2.17. What is the degree of the differential equation of all circles touching both the coordinate axes in the first quadrant?(a) 1(b) 2(c) 3(d) 4Correct Answer: (b) 2Solution:18. What is the differential equation of y = A - B/x ?(a) xy₂ + y₁ = 0(b) xy₂ + 2y₁ = 0(с) xy₂ - 2y₁ = 0(d) 2xy₂ + y₁ = 0Correct Answer: (b) xy₂ + 2y₁ = 0Solution:19. equal to?(a) 0(b) 1/2(c) 1(d) 2Correct Answer: (a) 0Solution:20. Where does the tangent to the curve y = eˣ at the point (0, 1) meet x-axis?(a) (1, 0)(b) (-1, 0)(c) (2, 0)(d) (- 1/2, 0)Correct Answer: (b) (-1, 0)Solution:Submit Quiz« Previous12