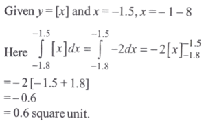
Mathematics NDA/NA SOLVED PAPER 2021-II (51 to 100)Total Questions: 5011. Consider the following statements in respect of the function f(x) = x + 1/x :1. The maximum value of f(x) is less thar its local minimum value. 2. The local maximum value of f (x) occurs at x = 1 Which of the above statements is/are correct?(a) 1 only(b) 2 only(c) Both 1 and 2(d) Neither 1 nor 2Correct Answer: (a) 1 onlySolution:We have x + 1/x < - 2 or x + 1/x > = 2 Hence Local minimum value of f (x) is 2 and Local maximum value g(x) is -2 Hence statement 1 is correct.12. What is the maximum area of a rectangle that can be inscribed in a circle of radius 2 units?(a) 4 square units(b) 6 square units(c) 8 square units(d) 16 square unitsCorrect Answer: (c) 8 square unitsSolution:We known that a rectangle inscriped in a circle having maximum area is a square. Here r = 2 (given) Hence diagonal of the square is 2r = 4 unit Area will be (4)²/2 = 8 sq. units13. equal to?(a)(b)(c)(d)Correct Answer: (a)Solution:14. What is the derivative of with respect to eˣ?(a)(b)(c)(d)Correct Answer: (a)Solution:15. What is the condition tha f(x) = x³ + x² + kx has no local extremum?(a) 4k < 1(b) 3k > 1(c) 3k < 1(d) 3k < 2Correct Answer: (b) 3k > 1Solution:16. equal to?(a) 4 ln 2(b) ln 4(c) ln 5(d) 8 ln 2Correct Answer: (d) 8 ln 2Solution:17. Find the value?(a) less than k(b) greater than k(c) less than or equal to k(d) greater than or equal to kCorrect Answer: (d) greater than or equal to kSolution:18. If the function f(x) = x² - kx is monotonically increasing in the interval (1, ∞) then which one of the following is correct?(a) k < 2(b) 2 < k < 3(c) 3 < k < 4(d) k > 4Correct Answer: (a) k < 2Solution:19. What is the area bounded by y = [x], where [ . ] is the greatest integer function, the x-axis and the lines x = - 1.5 and x = - 1.8?(a) 0.3 square unit(b) 0.4 square unit(c) 0.6 square unit(d) 0.8 square unitCorrect Answer: (c) 0.6 square unitSolution:20. The tangent to the curve x² = y at (1, 1) makes an angle θ with the positive direction of x-axis. Which one of the following is correct?(a)(b)(c)(d)Correct Answer: (d)Solution:Submit Quiz« Previous12345Next »