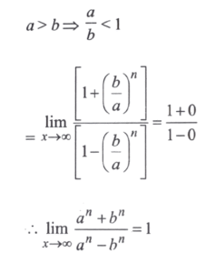
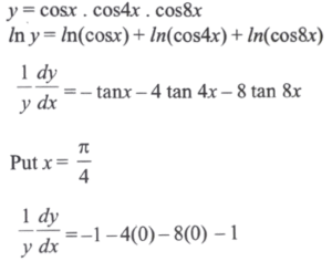
Mathematics NDA/NA SOLVED PAPER 2021-II (51 to 100)Total Questions: 5031. equal to?(a) 1 only(b) 2 only(c) Both 1 and 2(d) Neither 1 nor 2Correct Answer: (b) 2 onlySolution:32. equal to?(a) 0(b) π/6(c) π/3(d) π/2Correct Answer: (d) π/2Solution:33. equal to?(a)(b)(c)(d)Correct Answer: (a)Solution:34. equal to?(a) 1 only(b) 2 only(c) Both 1 and 2(d) Neither 1 nor 2Correct Answer: (c) Both 1 and 2Solution:35. Find the vector?(a) 2√2(b) 3√2(c) 2√3(d) 3√3Correct Answer: (c) 2√3Solution:36. If y = (1 + x) (1 + x²) (1 + x⁴) (1 + x⁸) (1 + x¹⁶) then what is dy/dx at x = 0 equal to?(a) 0(b) 1(c) 2(d) 4Correct Answer: (b) 1Solution:37. If y = cos x . cos 4x . cos 8x, then what is 1/y dy/dx at x = π/4 equal to?(a) -1(b) 0(c) 1(d) 3Correct Answer: (a) -1Solution:38. Let f (x) be a polynomial function such that fo f(x) = x⁴. What is f' (1) equal to?(a) 0(b) 1(c) 2(d) 4Correct Answer: (c) 2Solution:39. equal to?(a) -1(b) 0(c) 1(d) Limit does not existCorrect Answer: (c) 1Solution:40. Find the value?(a) -2(b) -1(c) 0(d) 1Correct Answer: (d) 1Solution:Submit Quiz« Previous12345Next »