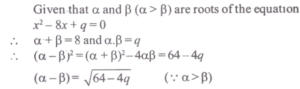
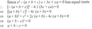
MATHEMATICS (NDA/NA SOLVED PAPER 2022-I) (01 to 50)Total Questions: 5011. How many terms are there in the expansion of(a) 9(b) 10(c) 19(d) 20Correct Answer: (b) 10Solution:12. Consider the following statements in respect of the expansion of (x + y)¹⁰:1. Among coefficients of the terms, the coefficient of the 6th term has the highest value 2. The coefficient of the 3rd term is equal to coefficient of the 9th term Which of the above statements is/are correct?(a) 1 only(b) 2 only(c) Both 1 and 2(d) Neither 1 nor 2Correct Answer: (c) Both 1 and 2Solution:13. If C(3n, 2n) = C(3n, 2n - 7) then what is the value of C(n, n - 5)?(a) 42(b) 35(c) 28(d) 21Correct Answer: (d) 21Solution:14. What is the value of C(51,21) - C(51,22) + C(51,23) - C(51,24) + C(51,25) - C(51,26) + C(51,27) - C(51,28) + C(51,29) - C(51,30)?(a) C(51, 25)(b) C(51, 27)(c) C(51,51) - C(51, 0)(d) C(51, 25) - C(51, 27)Correct Answer: (c) C(51,51) - C(51, 0)Solution:15. How many odd numbers between 300 and 400 are there in which none of the digits is repeated?(a) 32(b) 36(c) 40(d) 45Correct Answer: (a) 32Solution:16. How many permutations are there of the letters of the word 'TIGER' in which the vowels should not occupy the even positions?(a) 72(b) 36(c) 18(d) 12Correct Answer: (b) 36Solution:17. Let α and β be the roots of the equation x² + px + q = 0. If α³ and β³ are the roots of the equation x²+ mx + n = 0, then what is the value of m +n?(a) p³ + q³ + pq(b) p³ + q³ - pq(c) p³ + q³ + 3pq(d) p³ + q³ - 3pqCorrect Answer: (d) p³ + q³ - 3pqSolution:18. Let α and β be the roots of the equationx² - ax - bx + ab - c = 0 What is the quadratic equation whose roots are a and b?(a) x² - αx - βx + αβ + c = 0(b) x² - αx - βx + αβ - c = 0(c) x² + αx + βx + αβ + c = 0(d) x² + αx + βx + αβ - c = 0Correct Answer: (a) x² - αx - βx + αβ + c = 0Solution:19. If the roots of the equationx² -ax - bx - cx + bc + ca = 0 are equal, then which one of the following is correct?(a) a + b + c = 0(b) a - b + c = 0(c) a + b - c = 0(d) - a + b + c = 0Correct Answer: (c) a + b - c = 0Solution:20. Let a and β(α > β) be the roots of the equationx² - 8x + q = 0. If α² - β² = 16, then what is the value of q?(a) -15(b) -10(c) 10(d) 15Correct Answer: (d) 15Solution:Submit Quiz« Previous12345Next »