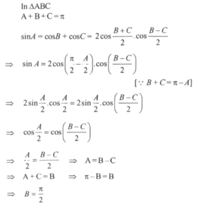
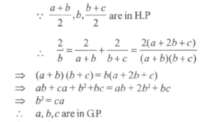
MATHEMATICS (NDA/NA SOLVED PAPER 2022-I) (01 to 50)Total Questions: 5021. What is the maximum value of n such that 5ⁿ divides (30! + 35!) where n is a natural number?(a) 4(b) 6(c) 7(d) 8Correct Answer: (c) 7Solution:22. What is the value of2(2 × 1) + 3(3 × 2 × 1) + 4(4 × 3 × 2 × 1) + 5(5 × 4 × 3 × 2 × 1) +________+9(9 × 8 × 7 × 6 × 5 × 4 × 3 × 2 × 1) + 2?(a) 11!(b) 10!(c) 10 + 10!(d) 11 + 10!Correct Answer: (b) 10!Solution:23. A = {(1, 2, 3)}, then how many elements are there in the power set of A?(a) 1(b) 2(c) 4(d) 8Correct Answer: (b) 2Solution:A = {(1,2,3)} n(A) = 1 Number of element in P(A) = 2¹ = 224. If a, b, c are in GP where a > 0, b > 0, c > 0 then which of the following are correct?1. a² b² c² in GP 2 1/a, 1/b, 1/c are in GP 3. √a, √b, √c are in GP Select the correct answer using the code given below:(a) 1 and 2 only(b) 2 and 3 only(c) 1 and 3 only(d) 1, 2 and 3Correct Answer: (d) 1, 2 and 3Solution:25. If (a + b)/2, b, (b + c)/2 are in HP, then which one of the following is correct?(a) a, b, c are in AP(b) a, b, c are in GP(c) a + b, b + c, c + a are in GP(d) a + b, b + c, c + a are in APCorrect Answer: (b) a, b, c are in GPSolution:26. What is value of cot²15° + tan²15°?(a) 12(b) 14(c) 8√3(d) 4Correct Answer: (b) 14Solution:27. What is angle B equal to?In a triangle ABC, sin A - cos B - cos C = 0.(a) π/6(b) π/4(c) π/3(d) π/2Correct Answer: (d) π/2Solution:28. If α+ β = π/4 and 2tanα = 1, then what is tan 2β equal to?(a) 1/3(b) 2/3(c) 3/4(d) 3/5Correct Answer: (c) 3/4Solution:29. If tan(45° + θ) = 1 + sin2θ, where -π/4 < θ < π/4 , then what is the value of cos2θ?(a) 0(b) 1/2(c) 1(d) 2Correct Answer: (c) 1Solution:30. Let sin2θ = cos3θ, where θ is acute angle. What is the value of 1 + 4sinθ?(a) √3(b) 2(c) √5(d) 3Correct Answer: (c) √5Solution:Submit Quiz« Previous12345Next »