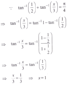
MATHEMATICS (NDA/NA SOLVED PAPER 2022-I) (01 to 50)Total Questions: 5031. If tanθ = - 5/12, then what can be the value of sinθ?(a) 5/13 but cannot be - 5/13(b) - 5/13 but cannot be 5/13(c) 5/13 or - 5/13(d) None of the aboveCorrect Answer: (a) 5/13 but cannot be - 5/13Solution:32. What is the value of cos⁴ 7π/8 + cos⁴ 5π/8?(a) 3/2(b) 3/4(c) 3/8(d) 3/16Correct Answer: (b) 3/4Solution:33. What is sin²(π/4 + θ) - sin² (π/4 - θ) equal to?(a) sin2θ(b) cos2θ(c) 2sinθ(d) 2cosθCorrect Answer: (a) sin2θSolution:34. A vertical tower stands on a horizontal plane and is surmounted by a vertical flagstaff of height h. At a point on the plane the angles of elevation of the bottom and top of the flagstaff are θ and 2θ respectively. What is the height of the tower?(a) hcosθ(b) hsinθ(c) hcos2θ(d) hsin2θCorrect Answer: (c) hcos2θSolution:35. The shadow of a tower becomes x metre longer, when the angle of elevation of sun changes from 60° to θ. If the height of the tower is √3x metre, then which one of the following is correct?(a) 0 <θ< 30°(b) 30° <θ < 45°(c) 45° <θ< 60°(d) 60° <θ < 90°Correct Answer: (b) 30° <θ < 45°Solution:36. If tan⁻¹(1/2) + tan⁻¹(x/3) = π/4, where 0 < x < 6, then what is x equal to?(a) 1(b) 2(c) 3(d) 5Correct Answer: (a) 1Solution:37. If 3sin⁻¹x + cos⁻¹x = π, then what is x equal to?(a) 0(b) 1/2(c) 1/√2(d) 1/√3Correct Answer: (c) 1/√2Solution:38. If tan α + tan β = 1 - tan α . tan β, where then which of the following is one of the values of (α + β)?(a) π/6(b) π/4(c) π/3(d) π/2Correct Answer: (b) π/4Solution:39. If (1 + tan θ) (1 + tan 9θ) = 2, then what is the value of tan(10 θ)?(a) 0(b) 1(c) 2(d) InfiniteCorrect Answer: (b) 1Solution:40. What is the value ofsin 0° + sin 10° + sin 20° + sin 30° +_____+sin 360°?(a) -1(b) 0(c) 1(d) 2Correct Answer: (b) 0Solution:Submit Quiz« Previous12345Next »