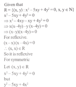
MATHEMATICS (NDA/NA SOLVED PAPER 2022-I) (01 to 50)Total Questions: 5041. Consider all the subsets of the set A = {1, 2, 3, 4}. How many of them are supersets of the set {4}?(a) 6(b) 7(c) 8(d) 9Correct Answer: (c) 8Solution:42. Consider the following statements in respect of two non-empty sets A and B :1. x ∉ A ∪ B) ⇒ x ∉ A or x ∉ B 2. x ∉ (A ∩ B) ⇒ x ∉ A and x ∉ B Which of the above statements is/are correct?(a) I only(b) 2 only(c) Both 1 and 2(d) Neither 1 nor 2Correct Answer: (d) Neither 1 nor 2Solution:43. Consider the following statements in respect of two non-empty sets A and B :1. A ∪ B=A ∩ B iff A = B 2 A Δ B = φ iff A = B Which of the above statements is/are correct?(a) 1 only(b) 2 only(c) Both 1 and 2(d) Neither 1 nor 2Correct Answer: (c) Both 1 and 2Solution:44. Consider the following statements in respect of the relation R in the set IN of natural numbers defined by xRy if x² - 5xy + 4y² = 0:1. R is reflexive 2 R is symmetric 3. R is transitive Which of the above statements is/are correct?(a) I only(b) 2 only(c) 1 and 2 only(d) 1,2 and 3Correct Answer: (a) I onlySolution: 45. Consider the following statements in respect of any relation R on a set A:1. If R is reflexive, then R⁻¹ is also reflexive 2. If R is symmetric, then R⁻¹ is also symmetric 3. If R is transitive, then R⁻¹ is also transitive Which of the above statements are correct?(a) 1 and 2 only(b) 2 and 3 only(c) 1 and 3 only(d) 1, 2 and 3Correct Answer: (d) 1, 2 and 3Solution:46. What is the principal argument of 1/1 + i where i = √-1?(a) - (3π)/4(b) -π/4(c) π/4(d) (3π)/4Correct Answer: (b) -π/4Solution:47. Find the value?(a) 1/4(b) 1/2(c) 1(d) 2²⁰⁰Correct Answer: (c) 1Solution:48. Consider the following statements:1. (n!)/(3!) is divisible by 6, where n > 3 2. (n!)/(3!) + 3 is divisible by 7, where n > 3 Which of the above statements is/are correct?(a) l only(b) 2 only(c) Both 1 and 2(d) Neither 1 nor 2Correct Answer: (d) Neither 1 nor 2Solution:49. In how many ways can a team of 5 players be selected out of 9 players so as to exclude two particular players?(a) 14(b) 21(c) 35(d) 42Correct Answer: (b) 21Solution:50. Find the value?(a) C(2n, n)x(b) C(2n, n-1)x(c) C(2n, n)(d) C(2n, n-1)Correct Answer: (c) C(2n, n)Solution:Submit Quiz« Previous12345