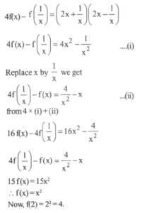
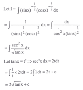
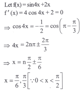
MATHEMATICS (NDA/NA SOLVED PAPER 2022-I) (51 to 100)Total Questions: 5011. equal to?(a) -1/2(b) 1/2(c) 1(d) 3/2Correct Answer: (b) 1/2Solution:12. equal to?(a)(b)(c)(d)Correct Answer: (b)Solution:13. equal to?(a)(b)(c)(d)Correct Answer: (b)Solution:14. equal to?(a) -2(b) -1(c) 1(d) 2Correct Answer: (b) -1Solution:15. How many extreme values does sin4x + 2x, where 0< x< π/2 have?(a) 1(b) 2(c) 4(d) 8Correct Answer: (b) 2Solution:16. What is the maximum value of the function?(a) 1/4(b) 1/2(c) 1(d) 2Correct Answer: (b) 1/2Solution:17. equal to?(a) 0(b) 1(c) 2(d) 4Correct Answer: (d) 4Solution:18. f(x) = 4x + 3 then what is f°f° f(- 1) equal to?(a) -1(b) 0(c) 1(d) 2Correct Answer: (a) -1Solution:19. If xʸyˣ= 1, then what is dy/dx at (1, 1) equal to?(a) -1(b) 0(c) 1(d) 4Correct Answer: (a) -1Solution:20. If y = (xˣ)ˣ, then what is the value of dy/dx at x = 1?(a) 1/2(b) 1(c) 2(d) 4Correct Answer: (b) 1Solution:Submit Quiz« Previous12345Next »