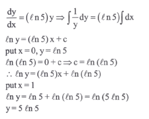
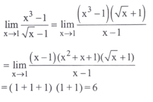
MATHEMATICS (NDA/NA SOLVED PAPER 2022-I) (51 to 100)Total Questions: 5021. Let y = [x + 1], - 4 < x < - 3 where [.] is the greatest integer function. What is the derivative of y with respect to x at x = - 3.5?(a) 4(b) -3.5(c) -3(d) 0Correct Answer: (d) 0Solution:22. If dy/dx = (l n 5) y with y(0) = ln(5), then what is y(1) equal to?(a) 0(b) 5(c) 2 ln 5(d) 5 ln 5Correct Answer: (d) 5 ln 5Solution:23. Consider the following in respect of the function f(x) = 10ˣ:1. Its domain is (- ∞, ∞) 2. It is a continuous function 3. It is differentiable at x = 0 Which of the above statements are correct?(a) 1 and 2 only(b) 2 and 3 only(c) 1 and 3 only(d) 1, 2 and 3Correct Answer: (d) 1, 2 and 3Solution:24. equal to?(a) 0(b) 1/2(c) 1(d) Limit does not existCorrect Answer: (a) 0Solution:25. equal to?(a) 0(b) 3(c) 6(d) Limit does not existCorrect Answer: (c) 6Solution:26. In which one of the following intervals is the function(a) (-∞, 1) only(b) (1, 6)(c) (6, ∞) only(d) (-∞, 1) ∪ (6, ∞)Correct Answer: (b) (1, 6)Solution:27. If the derivative of the function f(x) = m/x + 2nx + 1 vanishes at x = 2, then what is the value of m + 8n?(a) -2(b) 0(c) 2(d) Cannot be determined due to insufficient dataCorrect Answer: (d) Cannot be determined due to insufficient dataSolution:28. What is the area included in the first quadrant between the curves y = x and y = x³?(a) 1/8 square unit(b) 1/4 square unit(c) 1/2 square unit(d) 1 square unitCorrect Answer: (b) 1/4 square unitSolution:29. If xy = 4225 where x, y are natural numbers, then what is the minimum value of x + y?(a) 130(b) 260(c) 2113(d) 4226Correct Answer: (a) 130Solution:30. What does the equation xdy/dx - 2y = 0 represent?(a) A family of straight(b) A family of circles(c) A family of parabolas(d) A family of ellipsesCorrect Answer: (c) A family of parabolasSolution:Submit Quiz« Previous12345Next »