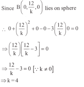
MATHEMATICS (NDA/NA SOLVED PAPER 2022-I) (51 to 100)Total Questions: 5041. What is the value of k?The plane 6x + ky + 3z - 12 = 0 where meets the coordinate axes at A, B and C respectively. The equation of the sphere passing through the origin and A, B, C is x² + y² + z² - 2x -3y - 4z = 0.(a) 3(b) 4(c) 6(d) 12Correct Answer: (b) 4Solution:42. If p is the perpendicular distance from the centre of the sphere to the plane, then which one of the following is correct?The plane 6x + ky + 3z - 12 = 0 where meets the coordinate axes at A, B and C respectively. The equation of the sphere passing through the origin and A, B, C is x² + y² + z² - 2x -3y - 4z = 0.(a) 0 < p < 0.5(b) 0.5 < p < 1(c) 1 < p < 1.5(d) p > 1.5Correct Answer: (b) 0.5 < p < 1Solution:43. What is the equation of the line through the origin and the centre of the sphere?The plane 6x + ky + 3z - 12 = 0 where meets the coordinate axes at A, B and C respectively. The equation of the sphere passing through the origin and A, B, C is x² + y² + z² - 2x -3y - 4z = 0.(a) x = y = z(b) 2x = 3y = 4z(c) 6x = 3y = 4z(d) 6x = 4y = 3zCorrect Answer: (d) 6x = 4y = 3zSolution:44. What are the direction ratios of a normal to the plane?(a)(b)(c)(d)Correct Answer: (a)Solution:Direction ratios of a normal are <3, 2, 1>45. If p, q and r are the intercepts made by the plane on the coordinate axes respectively, then what is (p + q + r) equal to?(a) 10(b) 11(c) 12(d) 13Correct Answer: (b) 11Solution:46. Find the value?(a) 4, 1(b) 1, 4(c) 8/3, 2/3(d) 2/3, 8/3Correct Answer: (c) 8/3, 2/3Solution:47. If are the position vectors of the vertices A, B, C respectively of a triangle ABC and G is the centroid of the triangle, then what is equal to?(a)(b)(c)(d)Correct Answer: (c)Solution:48. Consider the following statements:1. Dot product over vector addition is distributive 2. Cross product over vector addition is distributive 3. Cross product of vectors is associative Which of the above statements is/are correct?(a) 1 only(b) 2 only(c) 1 and 2 only(d) 1,2 and 3Correct Answer: (c) 1 and 2 onlySolution:49. Find the value?(a) 1 only(b) 2 only(c) Both 1 and 2(d) Neither 1 nor 2Correct Answer: (b) 2 onlySolution:50. Find the value?(a) 0 < sinθ < 1 only(b) -1/2 < sinθ < 1/2 only(c) -1 < sinθ < 0 only(d) -1 < sinθ < 1Correct Answer: (d) -1 < sinθ < 1Solution:Submit Quiz« Previous12345