Mathematics (NDA/NA SOLVED PAPER 2022-II) (01 to 50)

Total Questions: 50

31. Find the value?

Let f(x) be a function satisfying f(x + y) = f(x)  f(y) for all x, y ∈ N such that
f(1) = 2:

Correct Answer: (c) 10
Solution:

32. Find the value?

Let f(x) be a function satisfying f(x + y) = f(x)  f(y) for all x, y ∈ N such that
f(1) = 2

Correct Answer: (b) 682
Solution:

33. Find the value?

Let f(x) be a function satisfying f(x + y) = f(x)  f(y) for all x, y ∈ N such that
f(1) = 2:

Correct Answer: (d) 5460
Solution:

34. How many received medals in exactly two of the three sports?

A university awarded medals in basket ball, football and volleyball. Only x students (x < 6) got medal in all the three sports and the medals went to a total of 15x students. It awarded 5x medals in basketball, (4x + 15) medals in football and (x + 25) medals in volleyball.

Correct Answer: (c) 40 - 7x
Solution:(c)

35. How many received medals in at least two of three sports?

A university awarded medals in basket ball, football and volleyball. Only x students (x < 6) got medal in all the three sports and the medals went to a total of 15x students. It awarded 5x medals in basketball, (4x + 15) medals in football and (x + 25) medals in volleyball.

Correct Answer: (d) 40 - 6x
Solution:At least two of three sports
= b + e + f + d = 40 - 7x + x = 40 - 6x

36. How many received medals in exactly one of three sports?

A university awarded medals in basket ball, football and volleyball. Only x students (x < 6) got medal in all the three sports and the medals went to a total of 15x students. It awarded 5x medals in basketball, (4x + 15) medals in football and (x + 25) medals in volleyball.

Correct Answer: (a) 21x - 40
Solution:Exactly one of three sports
= a + c + g = 15x - (40 - 6x)
= 21x - 40

37. What is P equal to?

Correct Answer: (a)
Solution:

38. What is Q equal to?

Correct Answer: (d)
Solution:

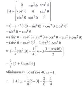
39. What is the minimum value of determinant of A?

Correct Answer: (a) 1/4
Solution:

40. What is the height of the lamp post?

ABC is a triangular plot with AB = 16 m; BC = 10 m and CA = 10 m. A lamp post is situated at the middle point of the side AB. The lamp post subtends an angle 45° at the vertex B.

Correct Answer: (c) 8 m
Solution: