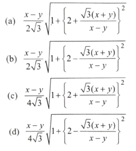
There are two points P and Q due south of a leaning tower, which leans towards north. P is at a distance x and Q is at a distance y from the foot of the tower (x > y). The angles of elevation of the top of the tower from P and Q are 15° and 75° respectively.
