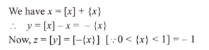
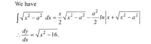
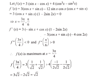
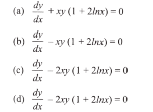
Mathematics (NDA/NA SOLVED PAPER 2022-II) (51 to 100)Total Questions: 5021. Let z = [y] and y = [x] - x,1 where [.] is the greatest integer function. If x is not an integer but positive, then what is the value of z?(a) - 1(b) 0(c) 1(d) 2Correct Answer: (a) - 1Solution:22. If f(x) = 4x + 1 and g(x) = kx + 2 such that fog(x) = gof (x), then what is the value of k?(a) 7(b) 5(c) 4(d) 3Correct Answer: (a) 7Solution:23. What is the minimum value of the function f(x) = log₁₀(x² + 2x + 11) ?(a) 0(b) 1(c) 2(d) 10Correct Answer: (b) 1Solution:24. Find the value?(a)(b)(c)(d)Correct Answer: (b)Solution:25. What is ∫ eˣ (1 + lnx + xlnx)dx equal to?(a)(b)(c)(d)Correct Answer: (a)Solution:26. Find the value?(a)(b)(c)(d)Correct Answer: (c)Solution:27. Find the value?(a)(b)(c)(d)Correct Answer: (c)Solution:28. If y = (xˣ)ˣ then which one of the following is correct?(a)(b)(c)(d)Correct Answer: (b)Solution:29. What is the maximum value of 3(sin x - cos x) + 4(cos³ x - sin³ x )?(a) 1(b) √2(c) √3(d) 2Correct Answer: (b) √2Solution:30. What is the area of the region (in the first quadrant) bounded by y = √1 - x², y = x and y = 0 ?(a) π/4(b) π/6(c) π/8(d) π/12Correct Answer: (c) π/8Solution:Submit Quiz« Previous12345Next »